• Предмет: Алгебра
  • Автор: albertrieben
  • Вопрос задан 8 лет назад

143^^^^^^^^^^^^^^^^^^^
сделать все ^^^^^^^^

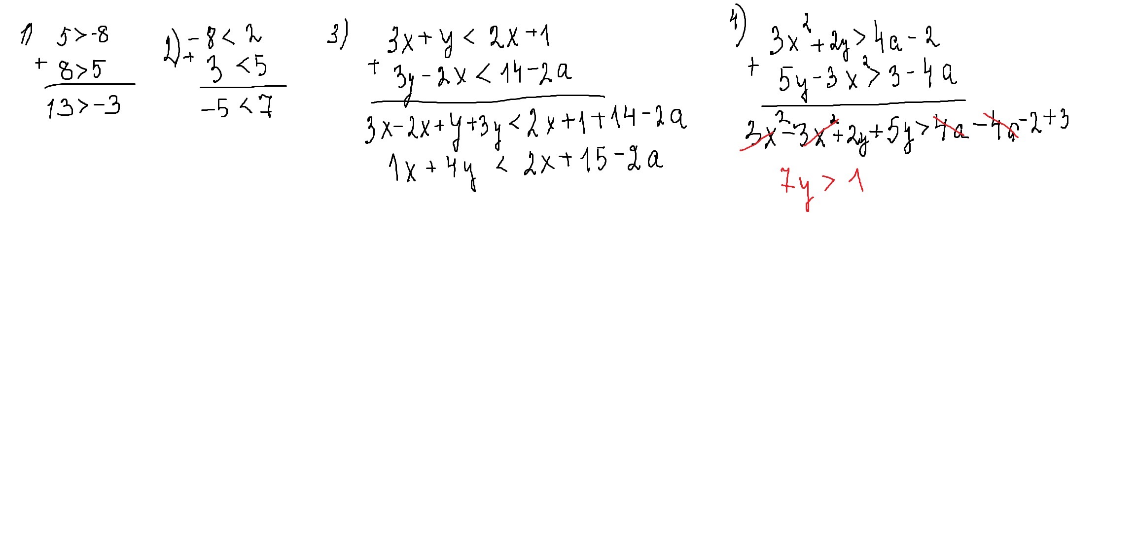
Приложения:

Ответы

Ответ дал: сенечкасеня
0

Как я понял:

1) 5+8>0; 13>0;

8-5>0; 3>0;

13+3>0; 16>0;

2) -8-2<0; -10<0;

3-5<0; -2<0;

-10+(-2)<0; -12<0;

3) 3x+y-2x+1<0; x+y+1<0;

3y-2x-14+2a<0; 3y+2a-2x-14<0;

3y+y+2a-2x+x-14+1<0; 4y+2a-3x+15<0;

4) 3x^2+2y-4a+2>0;

5y-3x^2-3+4a>0;

3x^2+2y-4a+2+5y-3x^2-3+4a>0; 3x^2-3x^2-4a+4a+2y+5y+2-3>0; 7y-1>0

Ответ дал: parus77
0

решение смотри внизу

Приложения:
Ответ дал: albertrieben
0
Я сейчас опять задам помогиьн помогите
Ответ дал: albertrieben
0
помогите
Ответ дал: albertrieben
0
144^^^^^^^^^^^^^^^^^
https://znanija.com/task/30565607?
Ответ дал: albertrieben
0
прошу помощи
Ответ дал: albertrieben
0
пжжж
Вас заинтересует