• Предмет: Физика
  • Автор: daniel1808
  • Вопрос задан 8 лет назад

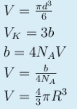
Формула нахождения собственного объёма молекулы

Приложения:

Ответы

Ответ дал: ryzhovaanna
0

Молярный объем по формуле не находят. У него постоянное значение- 22,4.

Vm=22,4

Ответ дал: daniel1808
0
Нужно среди формул выбрать одну из них
Ответ дал: viotumblr
0
Думаю Последняя V=4/3пR^3 ........
Ответ дал: daniel1808
0
Благодарю
Вас заинтересует