• Предмет: Алгебра
  • Автор: ProffenkeBC
  • Вопрос задан 8 лет назад

решите уравнение (x-2)(x+1)-(x-1)(x+2)+0,2=0

Ответы

Ответ дал: rina2403k
0
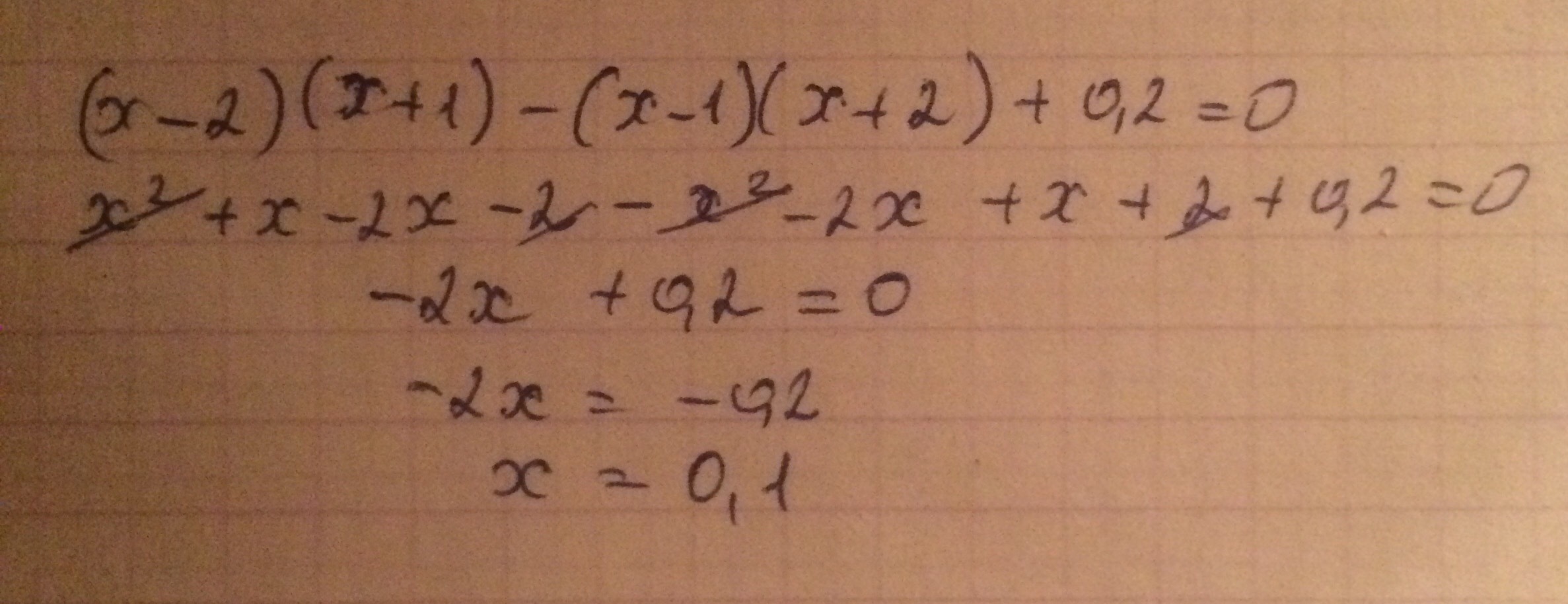
x^2+x-2x-2-(x^2+2x-x-2)+0.2=0
x^2+x-2x-2-x^2-x+2+0.2=0
-2x+0.2=0
-2x=-0.2
x=0.1
Ответ дал: rina2403k
0
x в степени 2
Ответ дал: ProffenkeBC
0
я понимаю но причем здесь степень
Ответ дал: ProffenkeBC
0
пример же дан без степени
Ответ дал: ProffenkeBC
0
ааа пон
Ответ дал: rina2403k
0
ты умножаешь, то что в дужках и получается степень
Ответ дал: tatnik12
0

Раскрываем скобки, приводим подобные члены и получаем обычное линейное уравнение.

Приложения:
Вас заинтересует