• Предмет: Алгебра
  • Автор: zvitterion
  • Вопрос задан 8 лет назад

100 баллов, 9 класс, надеюсь на вашу помощь

Приложения:

Ответы

Ответ дал: csharp
0

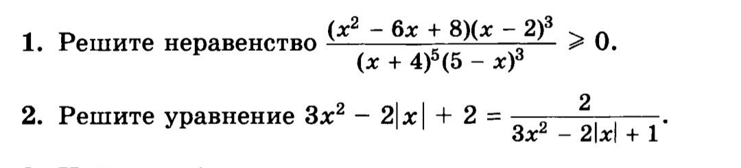
Задание 1

bfdisplaystylefrac{stackrel{textnormal{D=4, x1=4, x2=2}}{(x^{2}-6x+8)}(x-2)^{3}}{(x+4)^{5}(5-x)^{3}}geq 0 implies frac{(x-4)(x-2)^{4}}{-(x+4)^{5}(x-5)^{3}}geq 0 impies\\\impliesfrac{(x-4)(x-2)^{4}}{(x+4)^{5}(x-5)^{3}}leq 0 implies (x-4)(x-2)^{4}(x+4)^{5}(x-5)^{3}leq 0 implies\\\xin(-infty; -4)cup[4; 5)cup[2]

Интервалы изображены в приложении

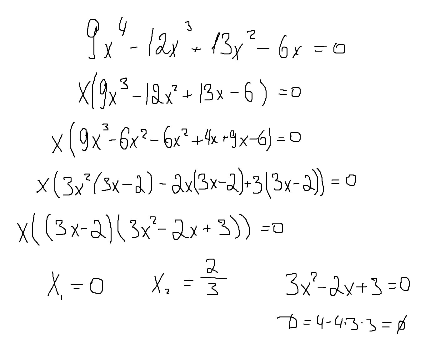
Задание 2

bfdisplaystyle 3x^{2}-2|x|+2=frac{2}{3x^{2}-2|x|+1}\\(3x^{2}-2|x|+2)(3x^{2}-2|x|+1)=2\\\\1.(3x^{2}-2x+2)(3x^{2}-2x+1)=2\\implies9x^{4}-12x^{3}+13x^{2}-6x=0implies x_1=0, x_2=frac{2}{3}\\\2.(3x^{2}+2x+2)(3x^{2}+2x+1)=2\\implies9x^{4}+12x^{3}+13x^{2}+6x=0implies x_1=0, x_2=-frac{2}{3}

Второе уравнение решается абсолютно также, как и на втором приложении.

Ответ

bfdisplaystylefrac{2}{3},-frac{2}{3}, 0

Приложения:
Вас заинтересует