• Предмет: Алгебра
  • Автор: everlast112
  • Вопрос задан 8 лет назад

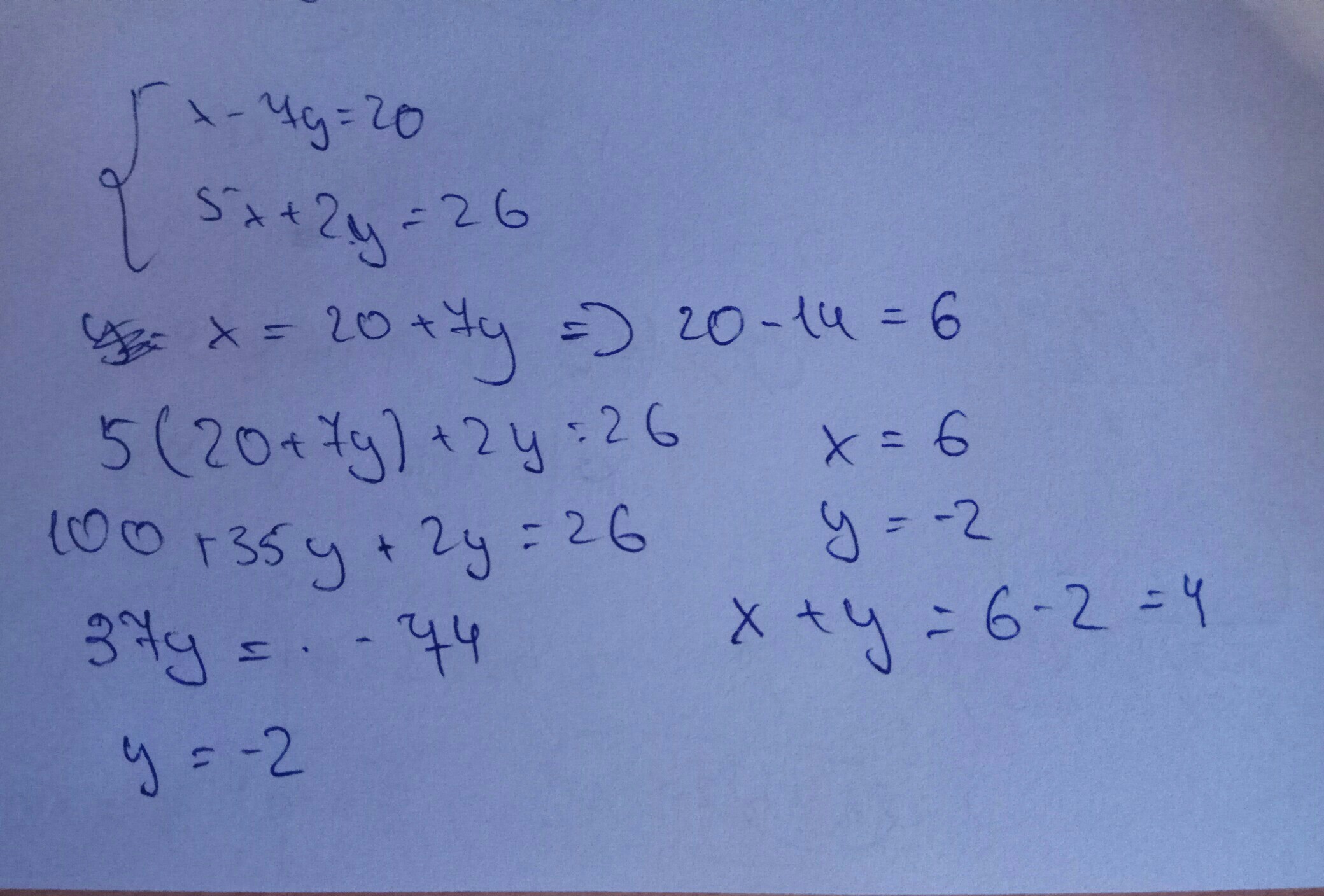
Нужно полное решение уравнения

Приложения:

Ответы

Ответ дал: Governer
0
сделал правильный ответ 4)
Приложения:
Вас заинтересует