• Предмет: Математика
  • Автор: georgijkondratev54
  • Вопрос задан 8 лет назад

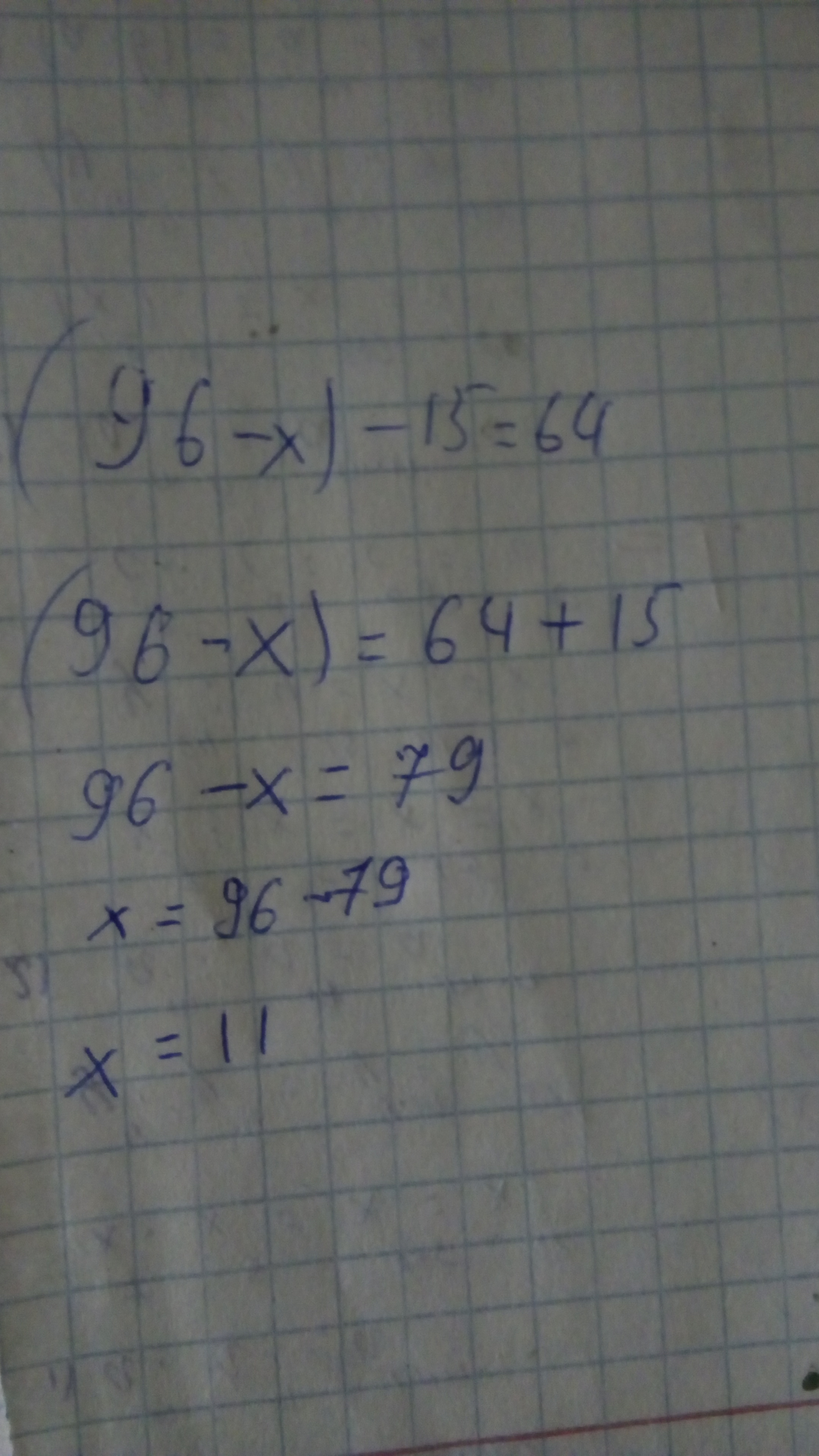
Сколько будет (96-х)-15=64

Ответы

Ответ дал: alenapresnova94
0
(96-х)-15=64
96-х = 64+15
96-х = 79
х = 96-79
х = 17
Ответ дал: darigasatalova1
0

Вроде так ну точно не знаю

Приложения:
Вас заинтересует