Ответы
Преобразуем уравнение для того, чтобы решить относительно x.
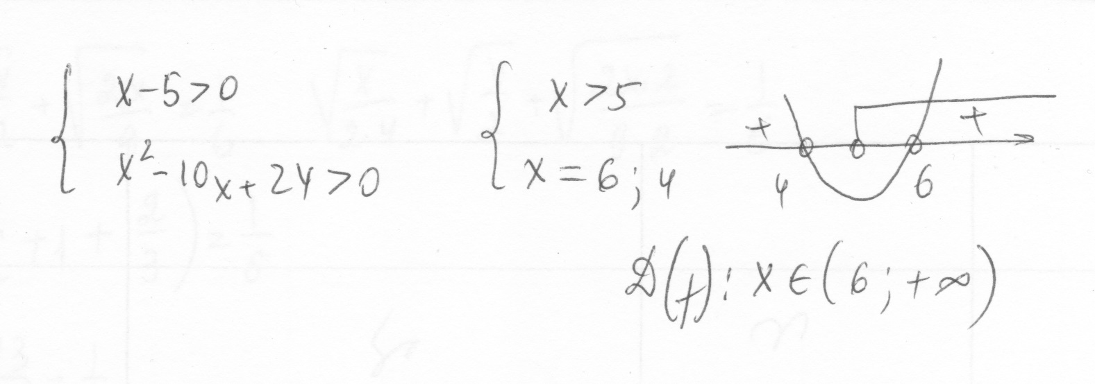
x−5>0
Прибавим 5 к обеим сторонам уравнения.
x>5
Решение включает все истинные интервалы
x>5
Преобразуем уравнение для того, чтобы решить относительно x.
+10x+24=0
Разложим +10x+24 на множители с помощью группировки.
Рассмотрим +bx+c. Найдем пару целых чисел, произведение которых равно c, а сумма равна b. В данном случае произведение равно 24, а сумма равна 10.
4;6=0
Запишем разложение на множители, используя эти целые числа.
(x+4)(x+6)=0.
Приравняем x+4 к 0, затем решим относительно x.
Приравняем множитель к 0.
x+4=0
Вычтем 4 из обеих частей уравнения.
x=−4.
Приравняем x+6 к 0, затем решим относительно x.
Приравняем множитель к 0.
x+6=0
Вычтем 6 из обеих частей уравнения.
x=−6.
Решение является результатом x+4=0 и x+6=0.
x=−4;−6.
Областью определения являются все значения x, которые делают выражение определенным.
(5;∞)
{x|x>5}

Логарифм частного равен разности логарифмов. Следовательно по определению логарифмов имеем область определения для каждого логарифма и находим пересечение множеств.
