• Предмет: Алгебра
  • Автор: 111111DA
  • Вопрос задан 8 лет назад

Весь день решаю,не получается,помогите)
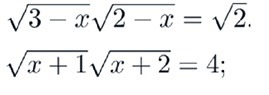
Тема:Иррациональные уравнения

Приложения:

Ответы

Ответ дал: burlesh2015
0

Ответы получаются такими:

1) х= 4, х = 1

2) х = -3+√65/2, -3+√65/2

Ответ дал: 111111DA
0
А как решить?
Вас заинтересует