• Предмет: Алгебра
  • Автор: 111111DA
  • Вопрос задан 8 лет назад

Весь день решаю,не получается,помогите!!!
Тема:иррациональные уравнения

Приложения:

Ответы

Ответ дал: ognibisera
0

Это первое, сейчас будет и второе

Приложения:
Ответ дал: vahe2907
0

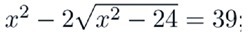
1)x^2 - 2sqrt{x^2 - 24} = 39\(2sqrt{x^2 - 24})^2 = (x^2 - 39)^2\4x^2 - 96 = x^4 - 78x^2 + 1521\x^4 - 82x^2 + 1617 = 0\t = x^2\t^2 - 82t + 1617 = 0

D = 6724 - 6468 = 256 = 16^2\t_{1/2} = frac{82 frac{+}{}16}2; t_{1/2} = 49; 33\x^2 = 49; x = frac{+}{}7\x^2 = 33; x = frac{+}{}sqrt{33}

2) sqrt{x^3 - 4x^2 - 10x + 29} = 3 - x\x^3 - 4x^2 - 10x + 29 = 9 - 6x + x^2\x^3 - 5x^2 - 4x + 20 = 0\x^2(x - 5) - 4(x - 5) = 0\(x-5)(x^2 - 4) = 0\x - 5 = 0; x = 5\x^2 - 4 = 0; x = frac{+}{}2\x = -2; x = 2; x = 5

Приложения:
Вас заинтересует