Ответы
Ответ дал:
0
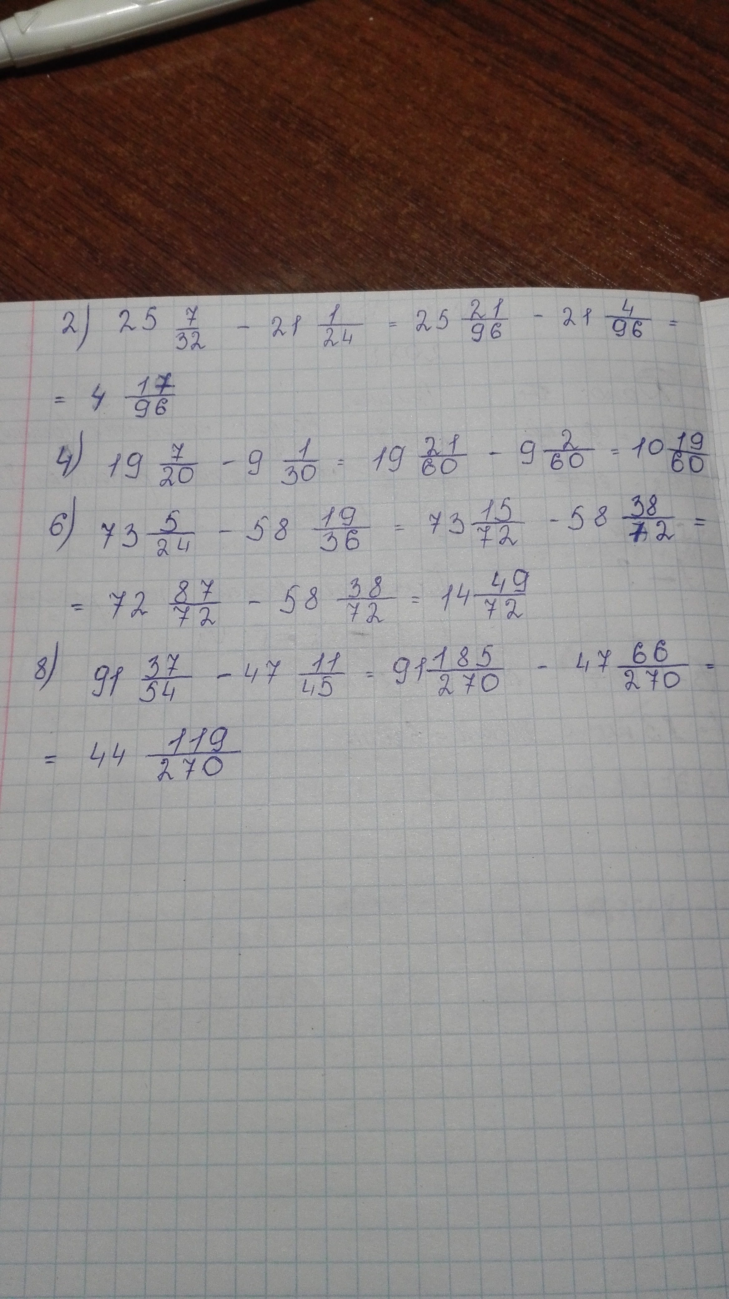
Во 2 , 4 и 6 приводим дроби к общему знаменателю , от целых отнимает целые от дробей отнимаем дроби , вычитаем верхние числа , а нижний знаменатель остовляем .
В 6 приводим к общему знаменателю , но так как в первом числе в дроби от верхнего числа мы не отнимаем вторую дробь , мы берём целую от 73 и прибавляем к 15 получается 15+72 =87 и тогда от целых отнимаем целые и от дроби дробь .
Приложения:

Вас заинтересует
2 года назад
2 года назад
3 года назад
3 года назад
9 лет назад
9 лет назад