помогите пж хотя бы с одним номером пж пж пж пж пж пж пж пж пж пж пж пж пж пж пж пж пж пж пж пж пж пж пж пж пж пж пж пж пж пж пж пж
Приложения:

Ответы
Ответ дал:
0
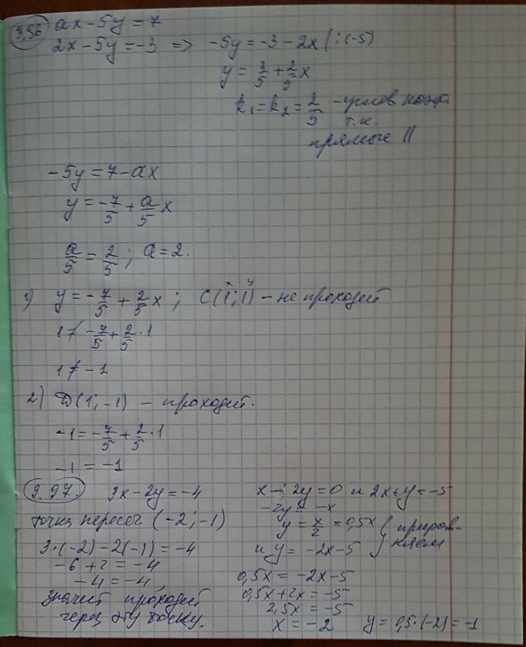
решение задания смотри на фотографии
Приложения:

Ответ дал:
0
большое спасибо Вы самый(ая) лучший(ая)
Ответ дал:
0
спасибо на добром слове!
Ответ дал:
0
Спасибо за оценку
Вас заинтересует
2 года назад
2 года назад
3 года назад
9 лет назад
9 лет назад
9 лет назад
9 лет назад