Ответы
Ответ дал:
0
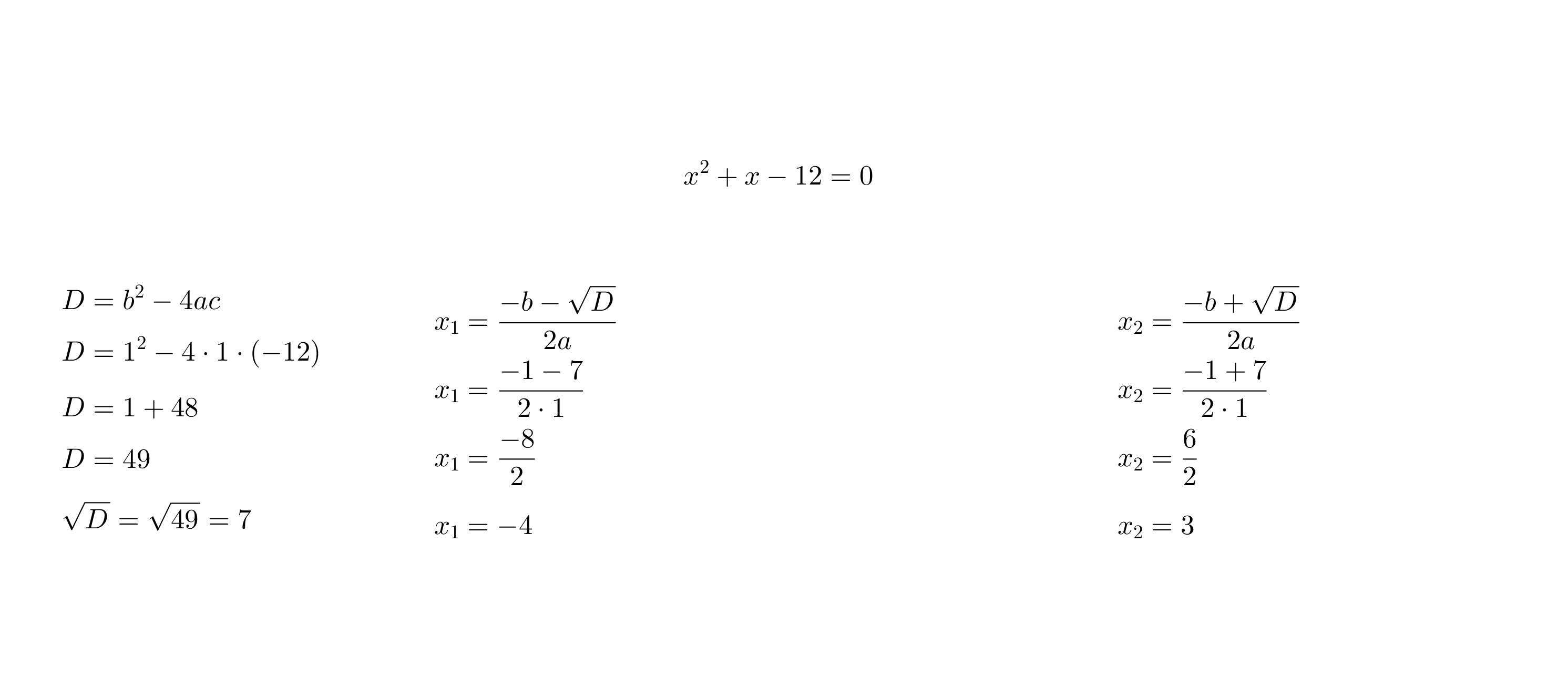
X во второй степени плюс икс минус 12 равно нулю
Приложения:

Вас заинтересует
2 года назад
3 года назад
9 лет назад
9 лет назад
9 лет назад