Ответы
                                            Ответ дал: 
                                                                                    
                                        
                                            
                                                
                                                
                                                
                                                    0
                                                
                                            
                                        
                                    
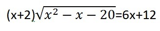
                                        (x+2)^2 * (x^2 - x - 20) = 36x^2 + 144x + 144
(x+2)^2 * (x^2 - x - 20) = 36(x^2 + 4x + 4)
(x+2)^2 * (x^2 - x - 20) = 36(x+2)^2
(x+2)^2 * (x^2 - x - 20) - 36(x+2)^2 = 0
(x+2)^2 * (x^2 - x - 20 - 36) = 0
(x+2)^2 * (x^2 - x - 56) = 0
(x+2)^2 = 0
x^2 - x - 56 = 0
x не равняется 2, x = 8, x = -7
                                        
                                        
                                (x+2)^2 * (x^2 - x - 20) = 36(x^2 + 4x + 4)
(x+2)^2 * (x^2 - x - 20) = 36(x+2)^2
(x+2)^2 * (x^2 - x - 20) - 36(x+2)^2 = 0
(x+2)^2 * (x^2 - x - 20 - 36) = 0
(x+2)^2 * (x^2 - x - 56) = 0
(x+2)^2 = 0
x^2 - x - 56 = 0
x не равняется 2, x = 8, x = -7
Вас заинтересует
                
                        2 года назад
                    
                
                        3 года назад
                    
                
                        9 лет назад
                    
                
                        9 лет назад
                    
                
                        9 лет назад
                    
                
                        9 лет назад