• Предмет: Алгебра
  • Автор: arsenii133488
  • Вопрос задан 8 лет назад

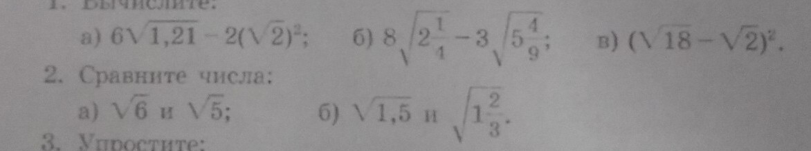
Помогите решить 1 2 задание

Приложения:

Ответы

Ответ дал: kaaatkis
0
Держииииииииииииииииии
Приложения:
Вас заинтересует