• Предмет: Математика
  • Автор: masha73653
  • Вопрос задан 8 лет назад

Погодите решить номера 64 (под цифрами 1,3,5), 62 пожалуйста

Приложения:

Ответы

Ответ дал: FairiTail
0

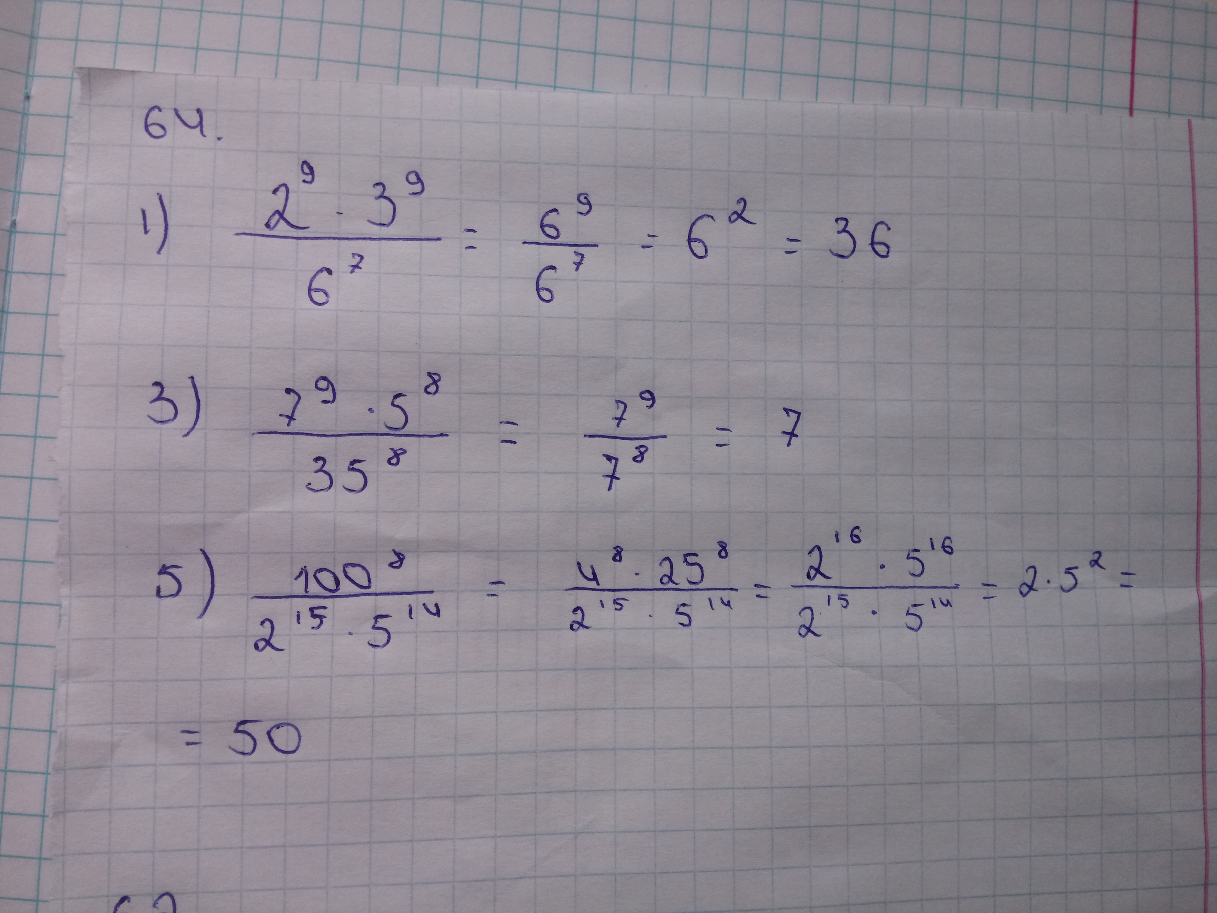
Решение 64 на фото. Ничего сложного ,просто запомни,что при умножении показатели степеней складываются,а при делении вычитаются.И при возведении степень в степень показатели перемножаются.

62.

1. равенство не является тождественным т.к. при умножении показатели складываются,т.е. 6+4=10 ,а не 24

2.равенство не является тождественным т.к. при делении показатели вычитаются ,т.е. 15-3=12,а  не 5

3.равенство не является тождественным т.к. a^{4} *b^{4} =(a*b)^{4}

4. равенство является тождественным(c^{7} )^{2} *c^{4 }=c^{18}\c^{14} * c^{4} =c^{18} \c^{18}= c^{18} -верно

Приложения:
Ответ дал: masha73653
0
Спасибо огромное
Ответ дал: FairiTail
0
не за что))
Вас заинтересует