Ответы
Ответ дал:
0
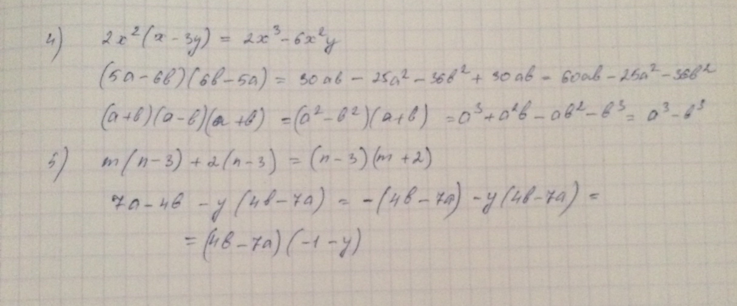
Раскрываем скобки. В последнем наоборот, выносим за скобку.
Приложения:

Ответ дал:
0
Куда выше нажать???
Вас заинтересует
2 года назад
2 года назад
3 года назад
9 лет назад
9 лет назад