• Предмет: Геометрия
  • Автор: Yurazubenko95
  • Вопрос задан 8 лет назад

Помогите пожалуйста решить!

Приложения:

Ответы

Ответ дал: Аноним
0

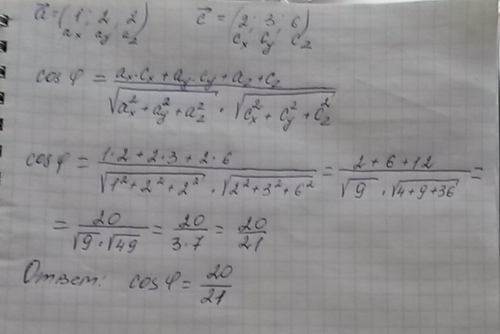
Косинус угла  между векторами равен:

Приложения:
Вас заинтересует