• Предмет: Математика
  • Автор: kristinaSK1
  • Вопрос задан 8 лет назад

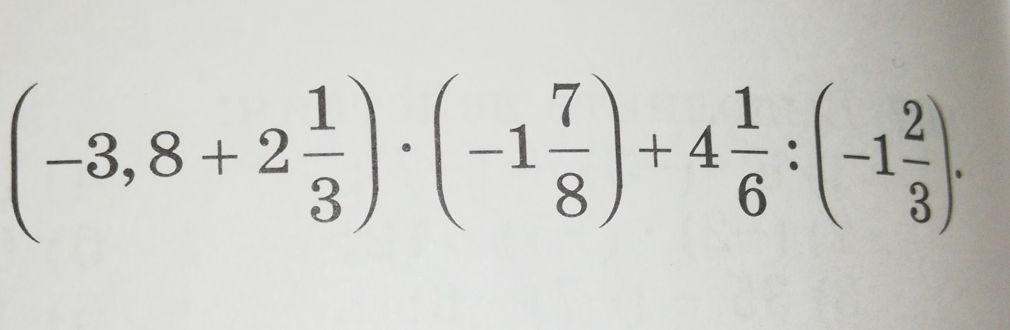
помогите пожалуйста решить пример по действиям

Приложения:

Ответы

Ответ дал: tatsach
0

-3.8+2 1/3=-3 4/5+2 1/3=-3 12/15+2 5/15=-1 7/15

-1 7/15*(-1 7/8)=-22/15*(-15/8)=22/8=2 3/4

4 1/6:(-1 2/3)=25/6*(-3/5)=-5/2=-2 1/2

2 3/4+(-2 1/2)=2 3/4-2 2/4=1/4

Вас заинтересует