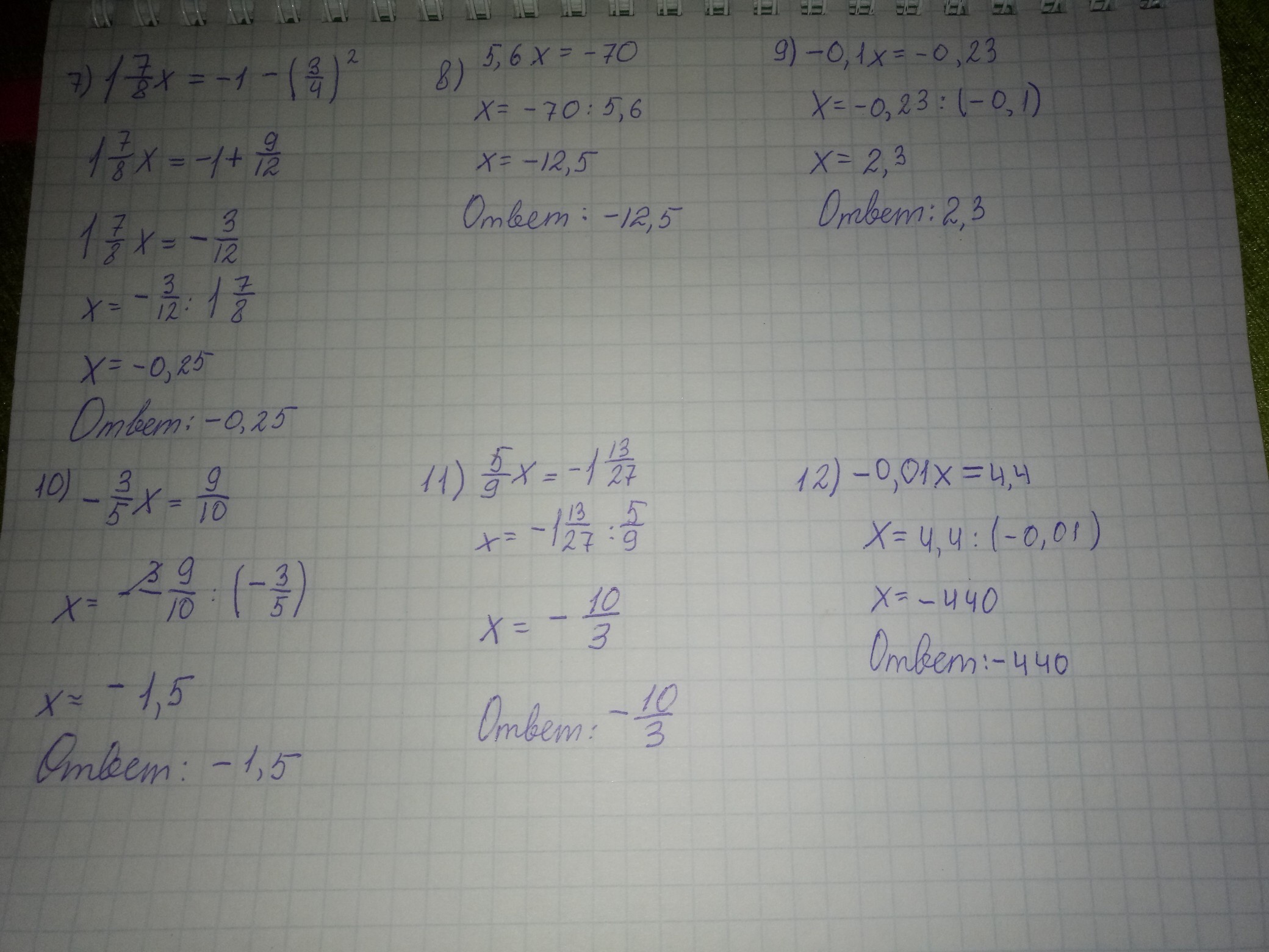
Найдите неизвестный множитель в верном равенстве (фото прикреплено) пожалуйста ответьте
Приложения:

Ответы
Ответ дал:
0
Ps 7 скорее всего не верно! Я не уверена
Приложения:

Ответ дал:
0
спасибо добрый человек, я очень благодарна
Вас заинтересует
2 года назад
2 года назад
3 года назад
3 года назад
9 лет назад
9 лет назад
9 лет назад