Ответы
Ответ дал:
0
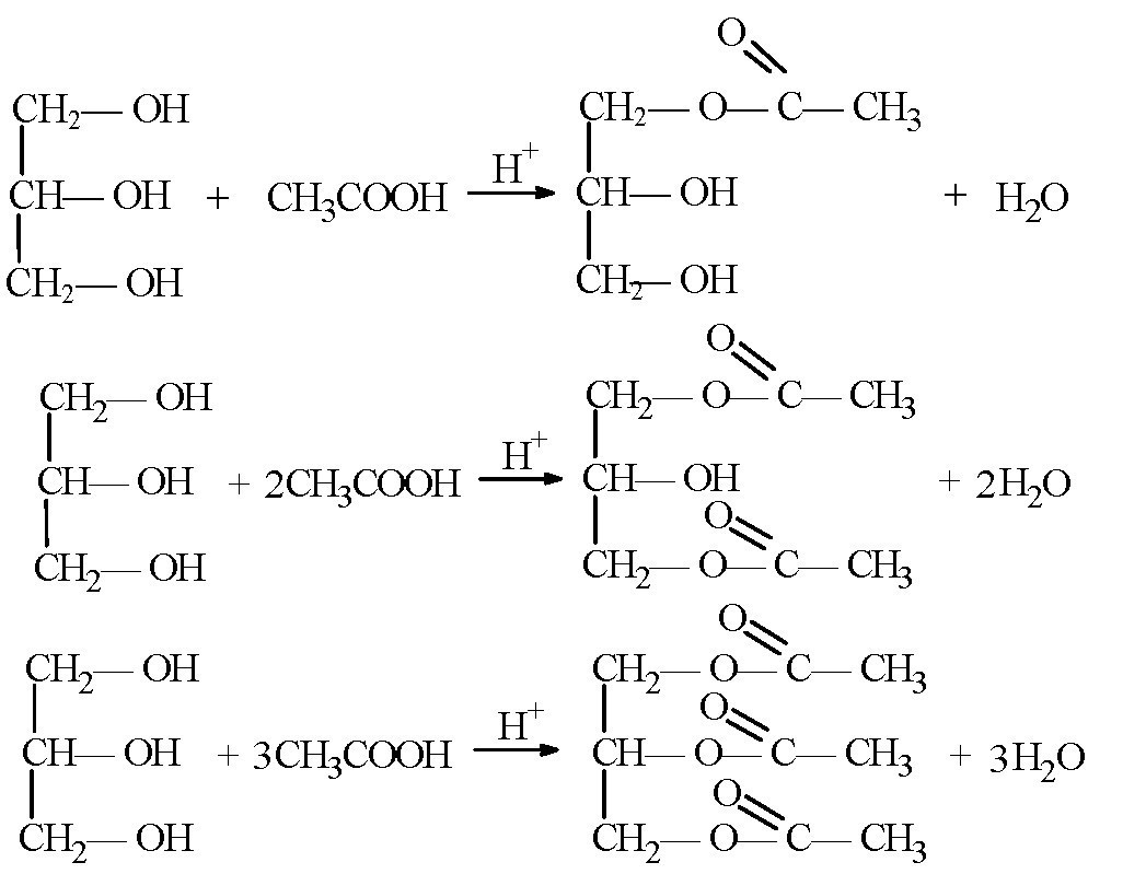
Там с 1,2 и 3 молями
Приложения:

Ответ дал:
0
Спасибо, а как в одну строчку записать уравнение? Если это возможно.
Ответ дал:
0
c3h5(oh)3+ch3cooh
Ответ дал:
0
Спасибо! Теперь понял как записывать подобное)
Вас заинтересует
2 года назад
2 года назад
3 года назад
3 года назад
9 лет назад
9 лет назад
9 лет назад