Ответы
Ответ дал:
0
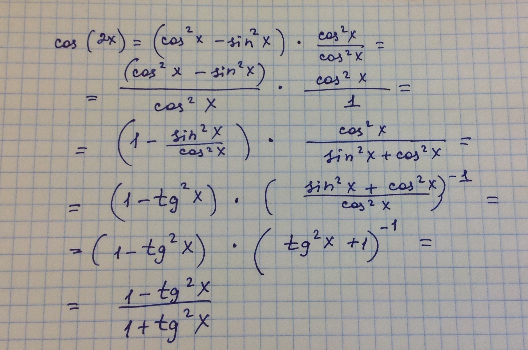
Потому что это формула двойного угла косинуса через тангенс
cos(2x)=(1-tg^2(x))/(1+tg^2(x))
Ответ дал:
0
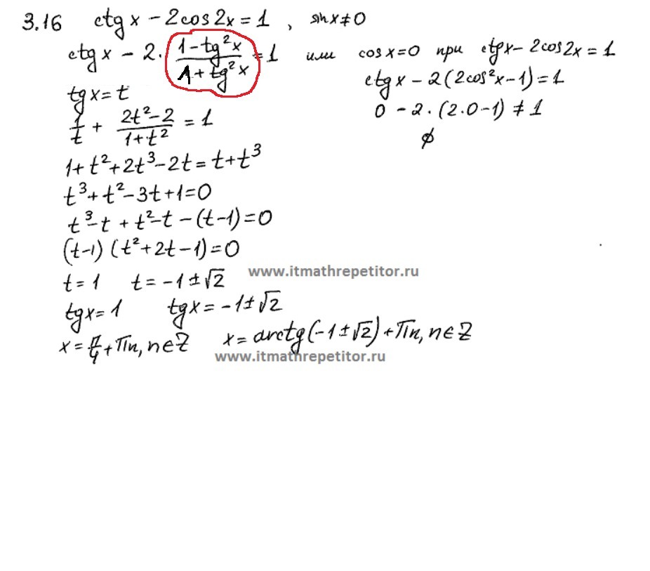
Ответ на фото////////////////
Приложения:

Ответ дал:
0
пздц
Ответ дал:
0
Формулу можно просто запомнить
Ответ дал:
0
Ну теперь я ее точно запомню) Просто странно, что я ее не видел раньше. :
Вас заинтересует
2 года назад
2 года назад
3 года назад
9 лет назад