Ответы
Ответ дал:
0
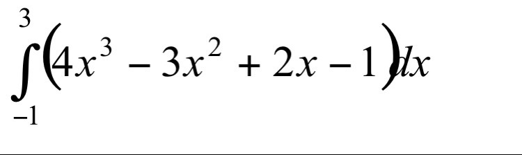
решение задания смотри на фотографии
Приложения:

Ответ дал:
0
Можете помочь с этим заданием? https://znanija.com/task/30581965
Вас заинтересует
2 года назад
3 года назад
9 лет назад
9 лет назад
9 лет назад
9 лет назад