• Предмет: Математика
  • Автор: sysaniny
  • Вопрос задан 8 лет назад

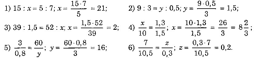
поможіть з прикладом! математика Тарасенкова 6 клас №573 ! Срочно! дуже прошу

Ответы

Ответ дал: trevorlexa
0

Вот ответ на твой вопровс.



Приложения:
Вас заинтересует