Выполните действие
Если можно подробное решение, а лучше с фото
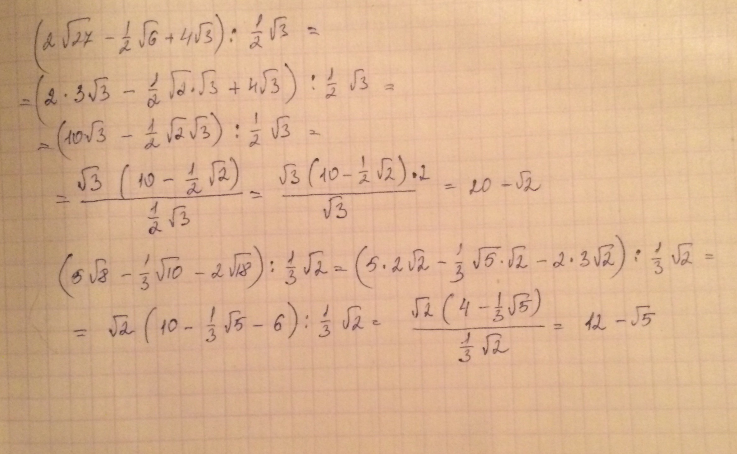
Номер 114 (3 и 4 пример)
Приложения:
Ответы
Ответ дал:
0
Упростим выражение, для этого вынесем из под корня все что можно, выполним действия в скобках, вынесем общий множитель и разделим.
Приложения:
Вас заинтересует
2 года назад
2 года назад
3 года назад
9 лет назад
9 лет назад
10 лет назад
10 лет назад