Ответы
Ответ дал:
0
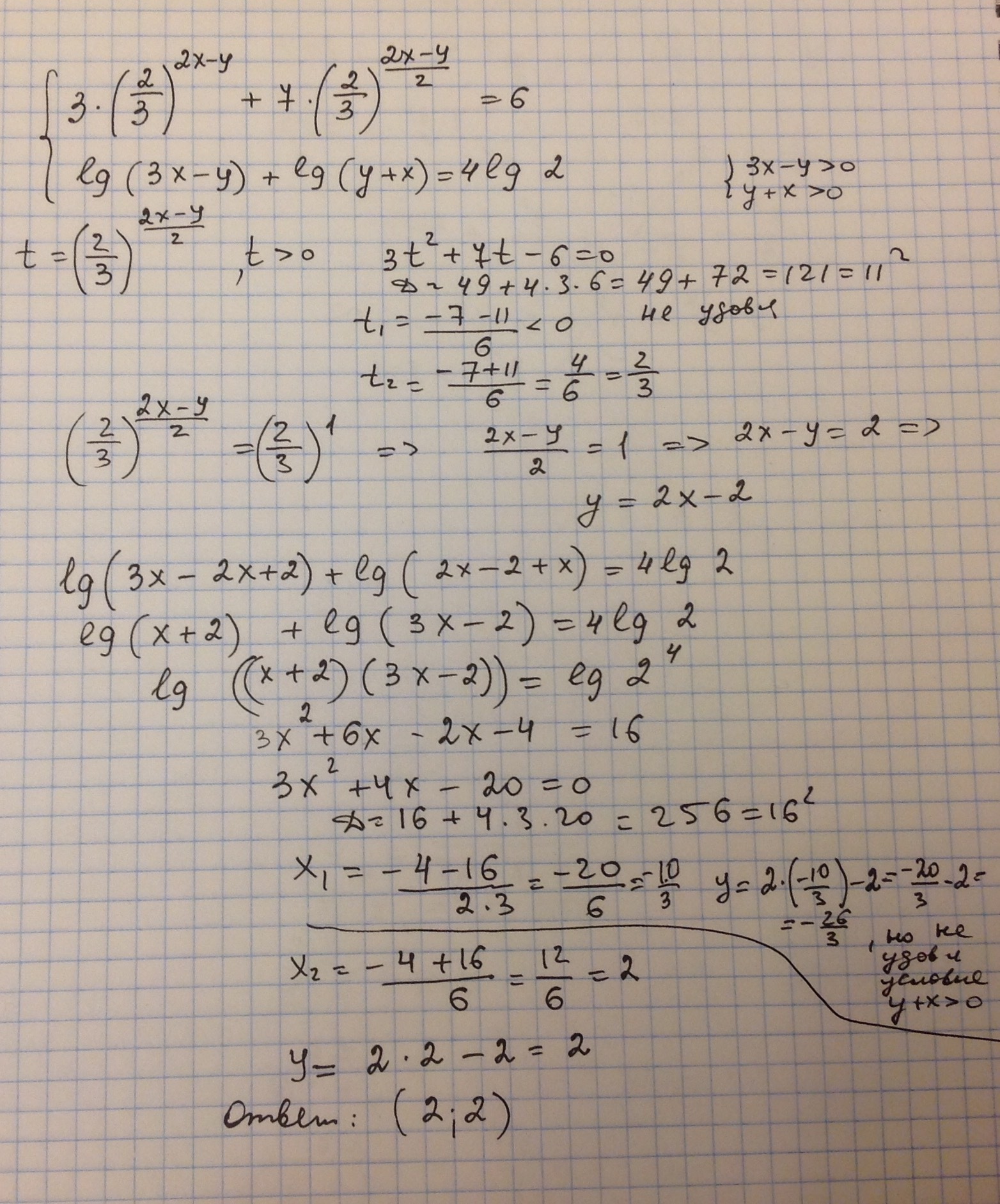
Ответ:
(2;2)
Пошаговое объяснение:ответ на фото//////
Приложения:

Вас заинтересует
2 года назад
2 года назад
3 года назад
3 года назад
9 лет назад