Ответы
Ответ дал:
0
Переводить также как и из двоичной, только вместо двух восемь
Приложения:

Ответ дал:
0
Во-первых, "восьмиричная" пишется слитно, а наша привычная система счисления называется не "10 ричная", а десятичная.
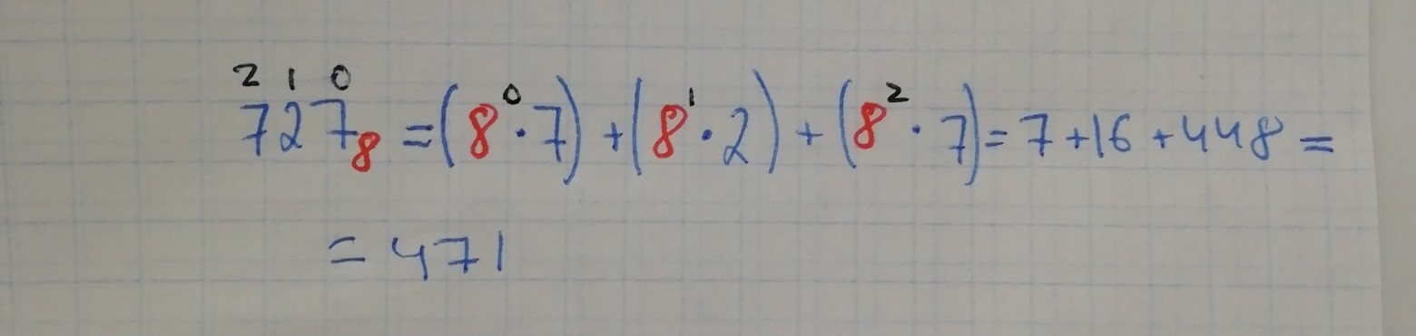
Ну а во-вторых, переводить по тому же принципу, что и из любой системы счисления в десятичную. Используем расширенную запись числа по указанному основанию и делаем необходимые вычисления.
727₈ = 7×8² + 2×8¹ + 7×8⁰ = 7×64 + 2×8 + 7×1 = 448 + 16 +7 = 471₁₀
Ответ: 471
Приложения:

Вас заинтересует
2 года назад
2 года назад
3 года назад
9 лет назад
9 лет назад
9 лет назад