Ответы
Ответ дал:
0
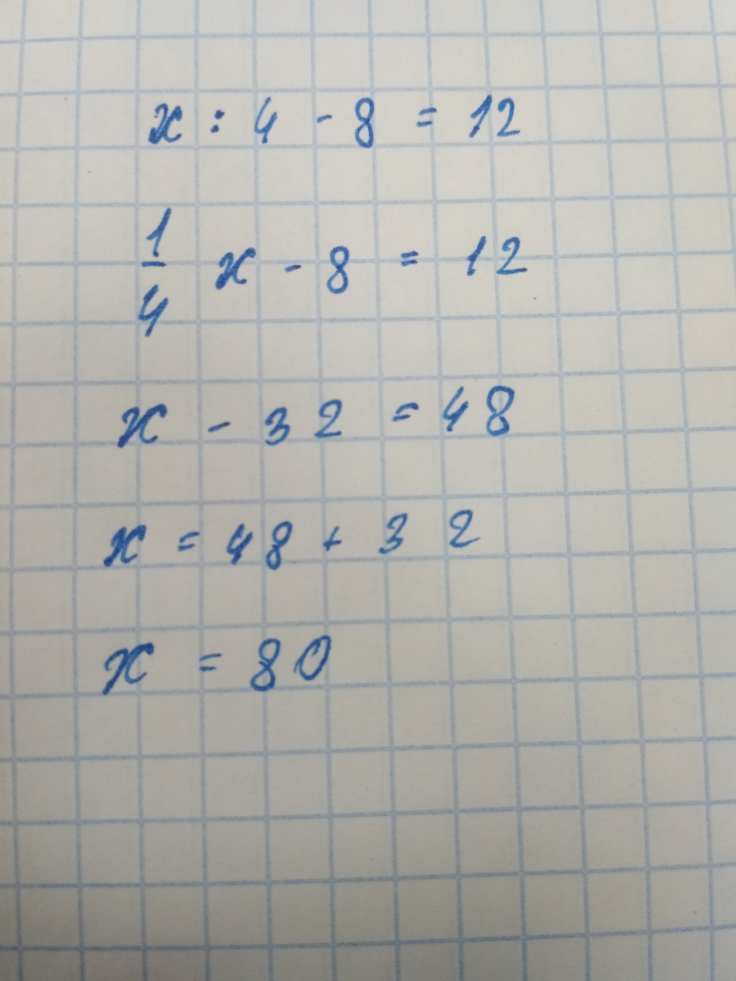
х4-8=12
х4=20
х=20*4
х=80
Ответ дал:
0
.........................
Приложения:

Вас заинтересует
2 года назад
3 года назад
3 года назад
9 лет назад
9 лет назад