Сколько решений имеет система уравнений {y=2x, x-y=3
Какая из указанных пар чисел является решением этой системы: 2)x=3, y=0.
Приложения:

Ответы
Ответ дал:
0
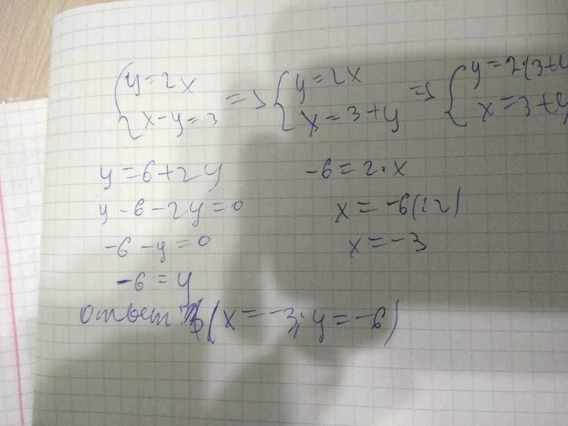
Вот решение в прикрепленном файле.Решил методом подстановки
Приложения:

Вас заинтересует
2 года назад
3 года назад
9 лет назад
9 лет назад