• Предмет: Математика
  • Автор: LolisPopis
  • Вопрос задан 8 лет назад

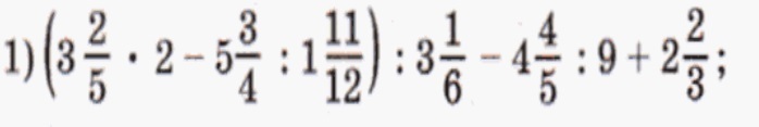
Решите пример по действиям

Приложения:

Ответы

Ответ дал: esnikolaeva04
0

Ответ:

3 1/3

Пошаговое объяснение:

1) 3 2/5 *2 = 6 4 /5

2) 5 3/4:1 11/12 = 3

3) 6 4 /5 - 3 = 3 4/5

4) 3 4/5: 3 1/6=1 1/5

5) 4 4/5:9 = 8/15

6)  1 1/5 - 8/15 = 2/3

7) 2/3 + 2 2/3 = 3 1/3

Вас заинтересует