• Предмет: Математика
  • Автор: minin4ya
  • Вопрос задан 8 лет назад

ХЕЛПИ ПЛИЗ пожалуйста умаляю я объяснение если можно пж пжпжпжпжпжпжж

Приложения:

Ответы

Ответ дал: lenapanova
0

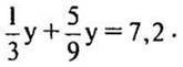
Ответ:  у = 8,1


Пошаговое объяснение:

складываем  значения в левой части уравнения.

1/3у + 5/9у = 8/9у

8/9у = 7,2

десятичную дробь в правой части заменяем смешанной дробью.   7,2 = 7 2/10 = 7 1/5


8/9у  = 7 1/5

у = 7 1/5 : 8/9

у = 36/5 * 9/8

у = 81/10= 8,1



Вас заинтересует