• Предмет: Математика
  • Автор: missbi838
  • Вопрос задан 8 лет назад

Иррациональные уравнения.При решении данных примеров грехи смываются сами собой!

Приложения:

Ответы

Ответ дал: mmb1
0

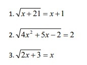
1. √(x+21) = x + 1

ОДЗ  х + 21 ≥ 0 x ≥ - 21  подкоренное выражение больше равно 0

x + 1 ≥ 0  x ≥ - 1 корень четной степени больше равен 0

x∈[ -1 +∞)

x + 21 = (x+1)²

x + 21 = x² + 2x + 1

x² + x - 20 = 0

D=b²-4ac=1 -4*(-20)= 81 = 9²

x12=(-1+-9)/2 = -5 4

Корень х1 = - 5 не входит в ОДЗ

x = 4 - Да

2. √(4*x² + 5*x - 2) = 2

ОДЗ 4*x² + 5*x - 2 ≥ 0  

D=25 + 4*4*(-2)=25 + 32 = 57

x12=(- 5 +-√57)/8  

x∈(-∞,(-5-√57)/8]∪[(-5+√57)/8 , +∞ )

√57 ≈ 7.5      x∈≈(-∞, -1.5] U [0.3,  +∞)

возводим в квадрат

4*x² + 5*x - 2 = 4

4*x² + 5*x - 6 = 0

D = 25 - 4*(-6)*4 = 225 + 96 = 121 = 11²  

х12=(-5+-11)/8= -2  3/4

х = -2  да

х = 3/4  да

3. √(2*х+3) = х

ОДЗ  2*x + 3 ≥ 0  x ≥ - 1.5  подкоренное выражение больше равно 0

х ≥0 корень четной степни больше равен 0  

х ∈[ 0 +∞)

Возводим в квадрат обе части

2x + 3 = x²

x² - 2*x - 3 = 0  

D = 4 - 4 *(-3) = 16 = 4²

x12 = (2 +-4)/2 = -1  3

x= -1  не входит в ОДЗ

х = 3 - да

ОТВЕТ ч=3


Вас заинтересует