Ответы
Ответ дал:
0
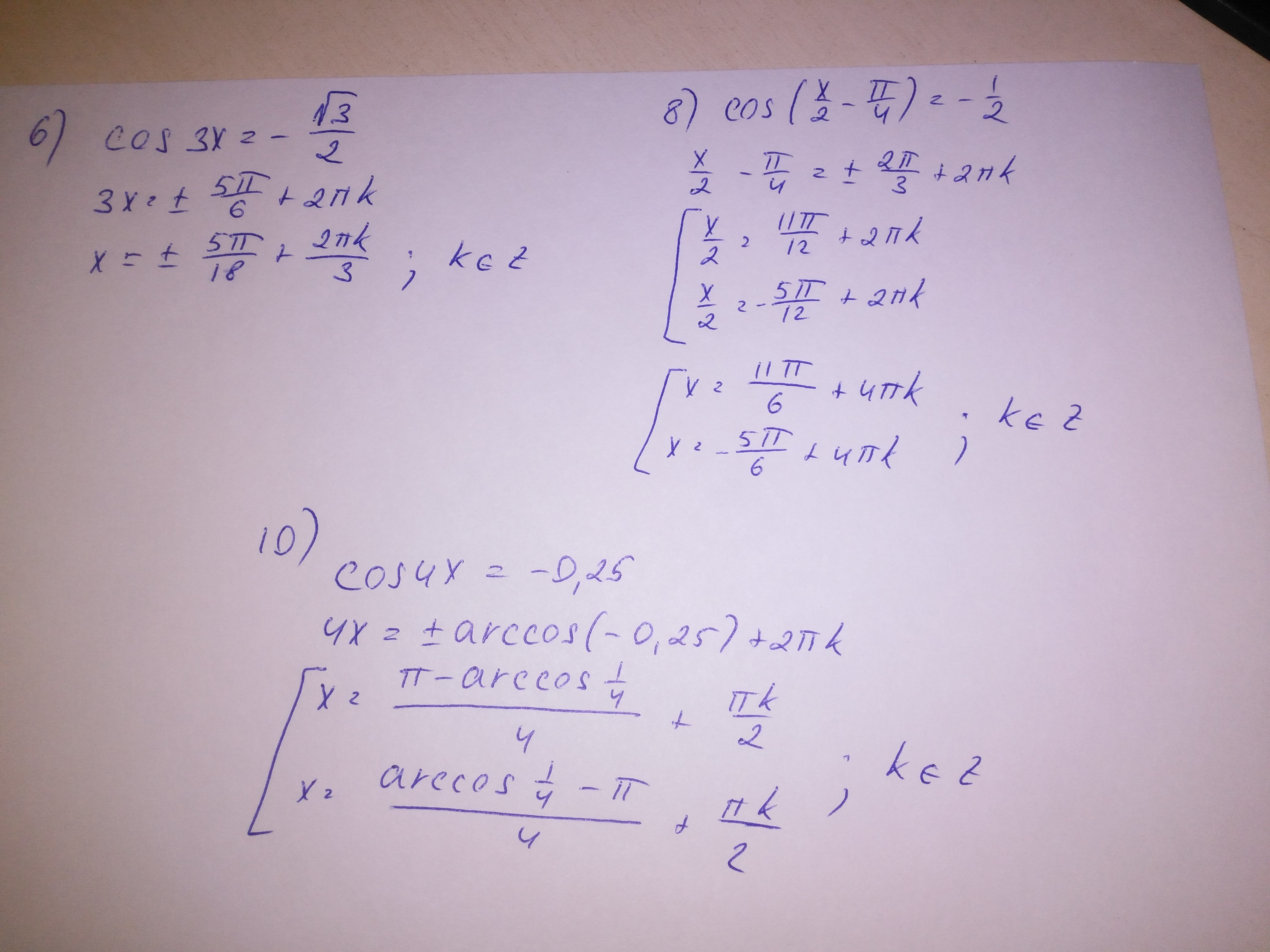
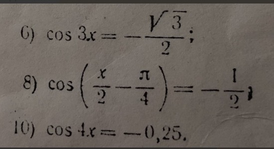
Решение во вложении..............
Приложения:

Ответ дал:
0
спасибо большое нажимала 5 звезд , а почему то высветилось 4
Вас заинтересует
2 года назад
3 года назад
3 года назад
9 лет назад
9 лет назад