Ответы
Ответ дал:
0
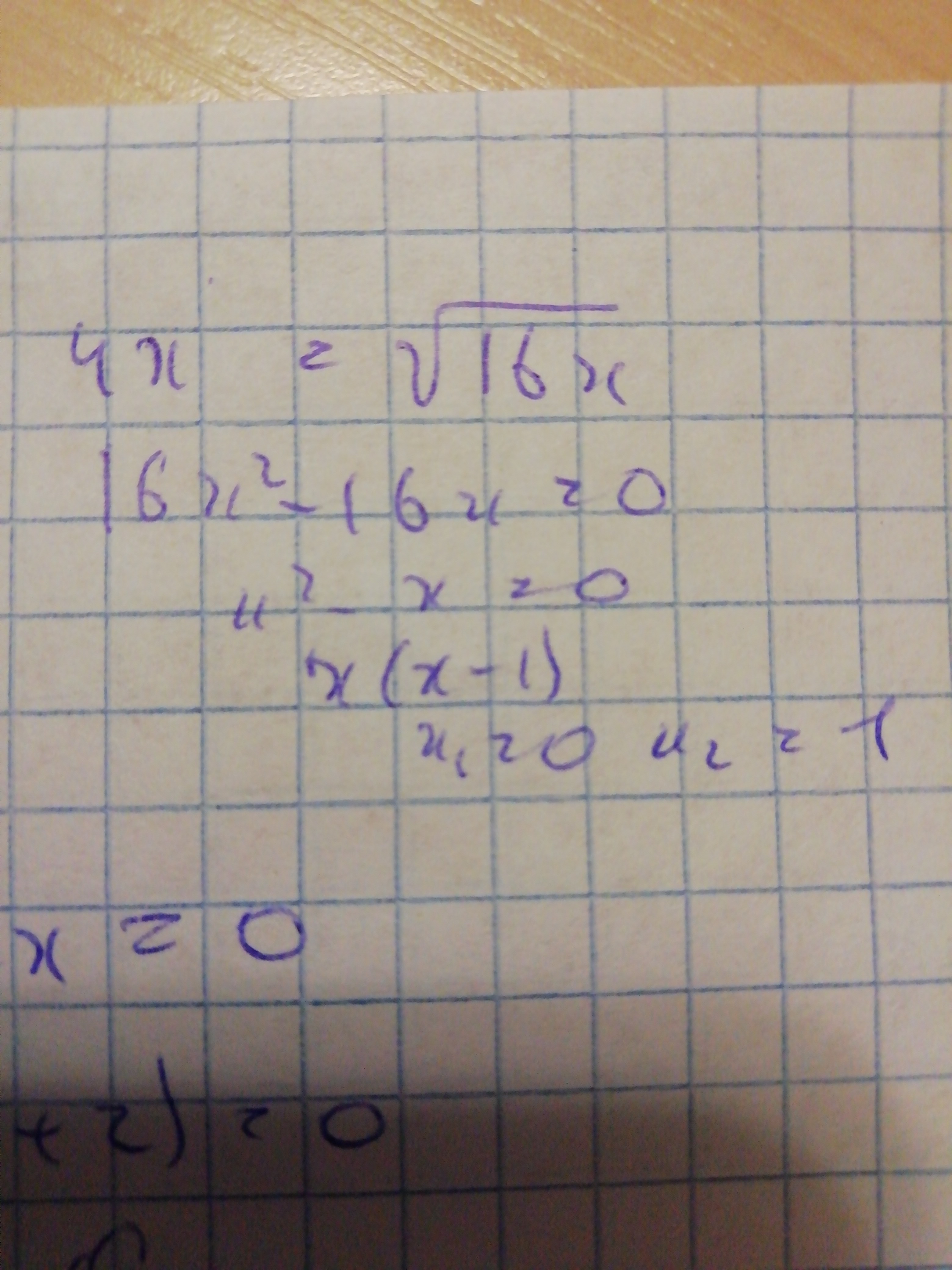
Ответ:решение смотри на ыфото ото
Пошаговое объяснение:
Приложения:

Ответ дал:
0
4х=√16х
4х=4√х
х=√х
х^2=х
х-х^2=0
х*(1-х)=0
х1=0
1-х=0
х2=1
4х=4√х
х=√х
х^2=х
х-х^2=0
х*(1-х)=0
х1=0
1-х=0
х2=1
Приложения:

Вас заинтересует
2 года назад
2 года назад
3 года назад
3 года назад
9 лет назад