Ответы
Ответ дал:
0
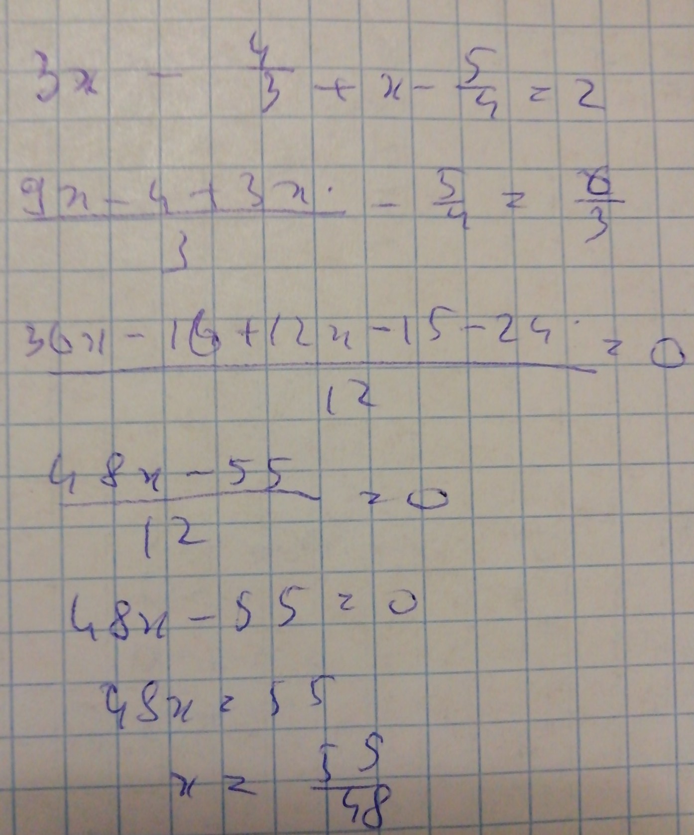
Решение смотри на фото
Приложения:

Ответ дал:
0
Ответ:
1 7/48
Пошаговое объяснение: 3х-4:3+х-5:4=2
4х-4* 1/3-5* 1/4=2
4х- 4/3- 5/4=2
4х- 31/12=2
4х= 2+ 31/12
4х= 55/12
х= 55/48
х= 1 7/48
Приложения:

Вас заинтересует
2 года назад
2 года назад
3 года назад
9 лет назад
9 лет назад
9 лет назад
9 лет назад