• Предмет: Алгебра
  • Автор: polomanijmail
  • Вопрос задан 8 лет назад

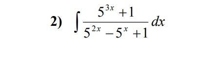
Нужно интеграл найти. 25 баллов даю. Прикрепляю фотку с примером.

Приложения:

Ответы

Ответ дал: kmike21
0

По формуле суммы кубов 5³ˣ+1=(5ˣ+1)(5²ˣ-5ˣ+1)

Тогда дробь под интегралом легко сокращается

int frac{5^{3x}+1}{5^{2x}-5^x+1} , dx = int frac{(5^{x}+1)(5^{2x}-5^x+1  )}{5^{2x}-5^x+1} , dx = int (5^x+1) , dx = frac{5^x}{ln5} +x+C

Ответ дал: polomanijmail
0
Спасибо, не заметил )
Ответ дал: polomanijmail
0
только разберусь как тут ваш ответ правильным отметить
Вас заинтересует