100б!!!
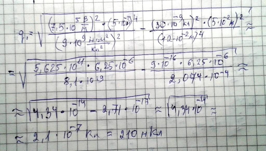
два точечных заряда находятся на расстоянии α друг от друга. В точке, отстоящей от заряда на q1 на расстоянии r1, а от заряда q2 на r2. Напряженность электрического поля равна E. Определить q1, если: q2=-30нКл, α =13см, r1=5cм, r2=12см, E=7.5кВ/см
Ответы
Ответ дал:
0
Решение смотри в файлах
Приложения:


Вас заинтересует
2 года назад
3 года назад
3 года назад
9 лет назад