• Предмет: Алгебра
  • Автор: Denmartin38
  • Вопрос задан 8 лет назад

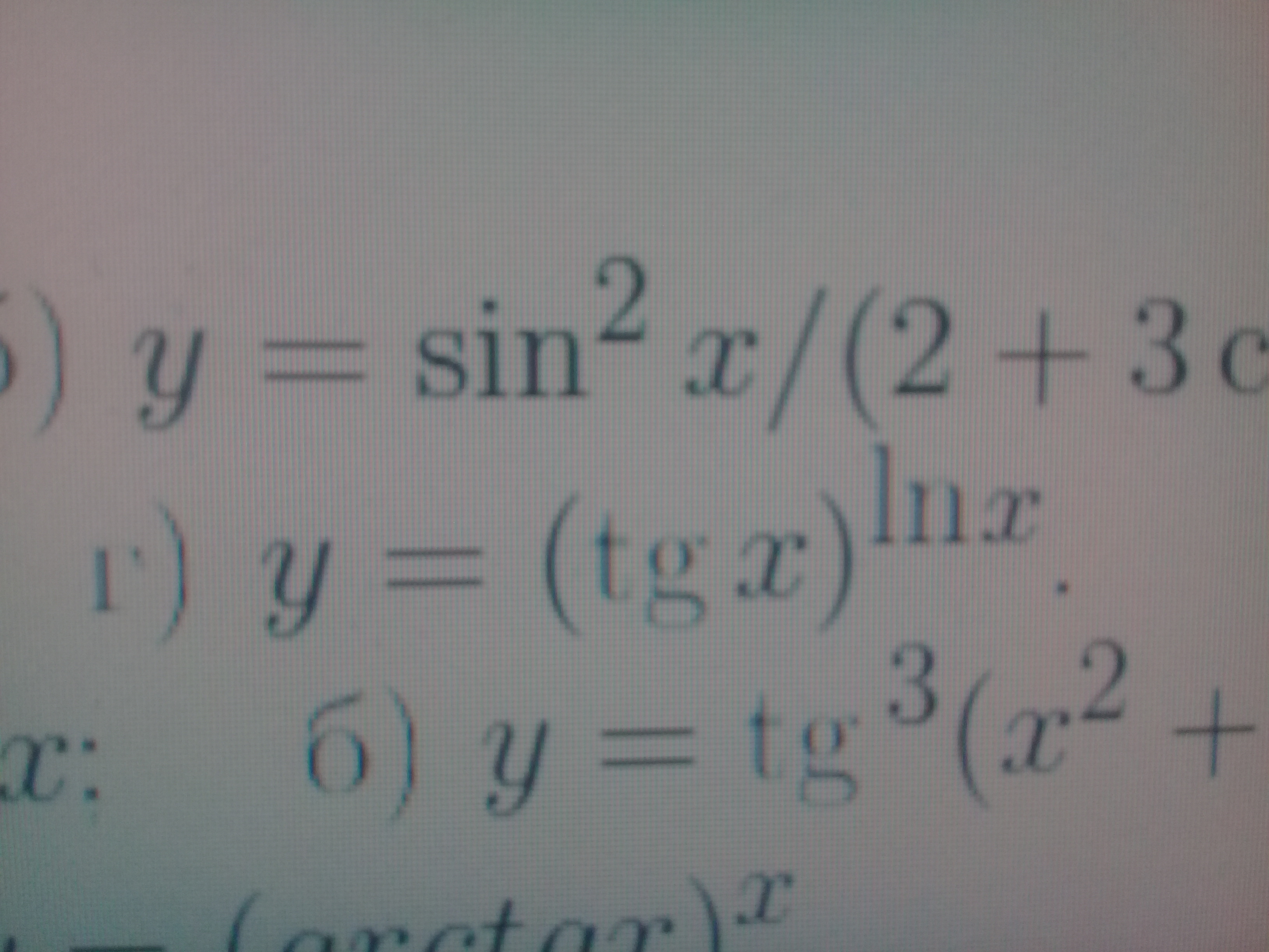
Найти производные dy/dx данных функций
(Пример г, где tgx)

Приложения:

Ответы

Ответ дал: Аноним
0

dfrac{d}{dx}left(left({rm tg }xright)^{ln x}right)=dfrac{({rm tg }x)^{ln x}ln {rm tg }x}{x}+dfrac{ln x({rm tg }x)^{ln x-1}}{cos^2x}

Первое слагаемое: по производной от показательной функции и полагая, что tgx - константа

Второе слагаемое: производная от степенной функции и полагая, lnx - константа.

Вас заинтересует