На бесконечном поле имеется горизонтальная стена.
Составьте алгоритм закрашивания всех клеток, примыкающих к стене сверху, независимо от длины стены.
Робот должен закрасить только клетки, удовлетворяющие данному условию.
Конечное расположение Робота может быть произвольным.
Приложения:



Ответы
Ответ дал:
0
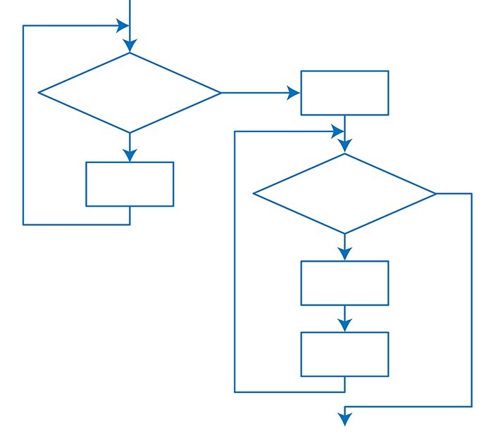
Решение на рисунке
****************************
Приложения:

Вас заинтересует
2 года назад
3 года назад
9 лет назад
9 лет назад
9 лет назад