• Предмет: Алгебра
  • Автор: 7eshubina
  • Вопрос задан 8 лет назад

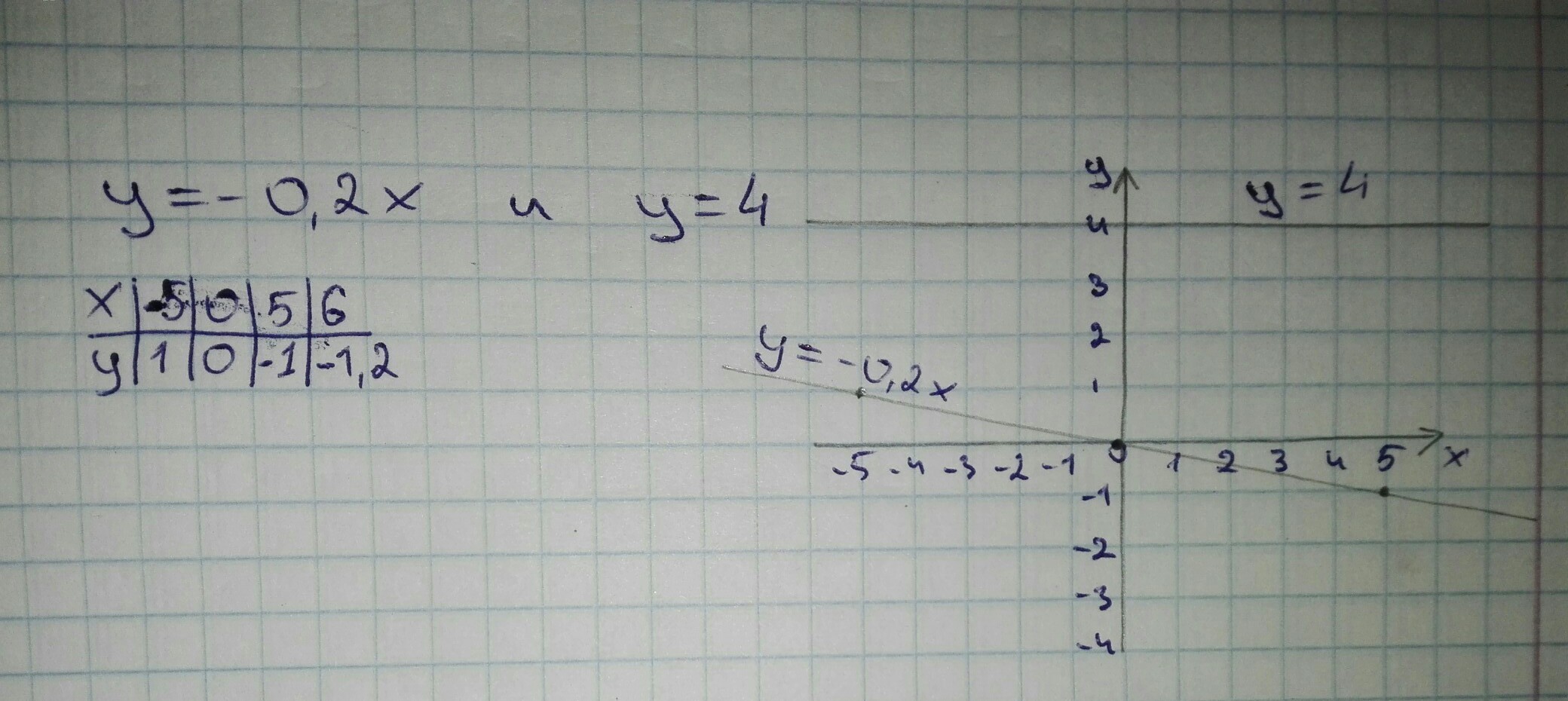
Постройте график функции в одной системе координат а)y=-0,2x б)y=4.

Ответы

Ответ дал: mariysh200485
0
лвдаьашщуювьсшшпдвдвщдчлала
Приложения:
Вас заинтересует