• Предмет: Алгебра
  • Автор: fatya1096
  • Вопрос задан 8 лет назад

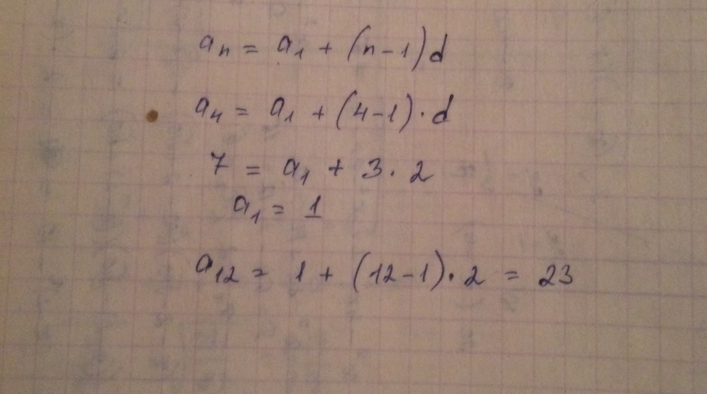
d=2
a4=7
a12=? Помогите решить прогрессию

Ответы

Ответ дал: tatnik12
0

Из формулы n-го члена найдём а1, потом а12

Приложения:
Вас заинтересует