Помогите с карточкой по алгебре
За внятное и раскрытое решение всех номеров ДАМ 45 БАЛЛОВ.
Желательно(но необязательно), чтобы решение было написано на листке.
Приложения:

Ответы
Ответ дал:
0
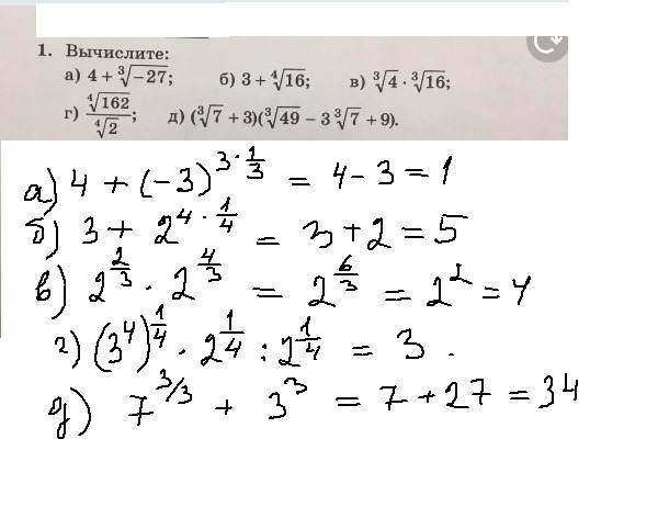
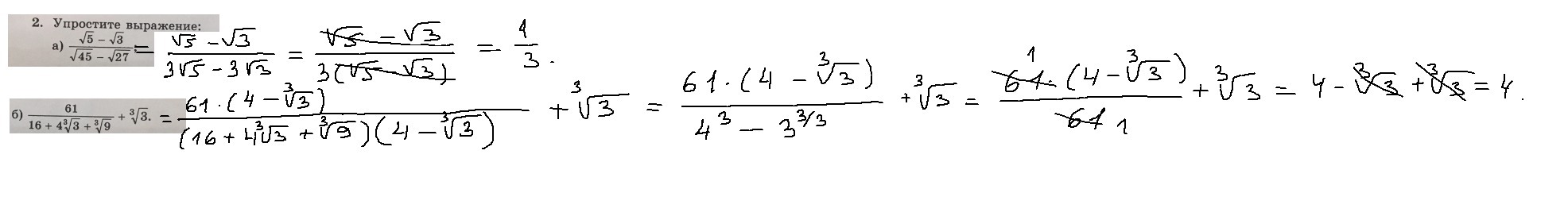
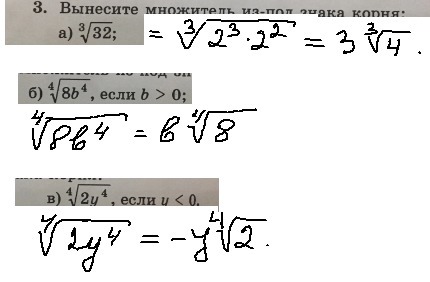
Решение во вложении...
Приложения:

Ответ дал:
0
Большое спасибо <з
Ответ дал:
0
..... Обычно кр удаляют, лучше разбивать на задания ................
Приложения:




Ответ дал:
0
Премного благодарна)
Ответ дал:
0
Учту ваш совет
Вас заинтересует
2 года назад
2 года назад
3 года назад
9 лет назад