Ответы
Ответ дал:
0
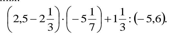
Ответ:

Приложения:
Ответ дал:
0
спасибо большое за ответ
Вас заинтересует
2 года назад
3 года назад
3 года назад
9 лет назад
9 лет назад
10 лет назад