• Предмет: Алгебра
  • Автор: bashkatovserzh2002
  • Вопрос задан 8 лет назад

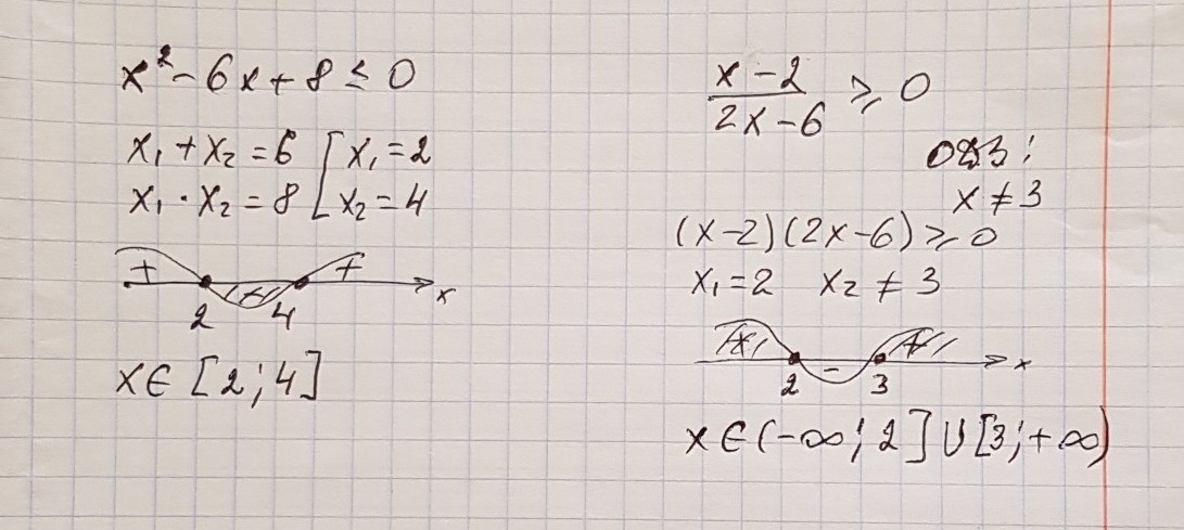
Помогите решить метод интервалов

Приложения:

Ответы

Ответ дал: 1233090
0
решение задания смотри на фотографии
Приложения:
Вас заинтересует