• Предмет: Математика
  • Автор: smileytroller
  • Вопрос задан 8 лет назад

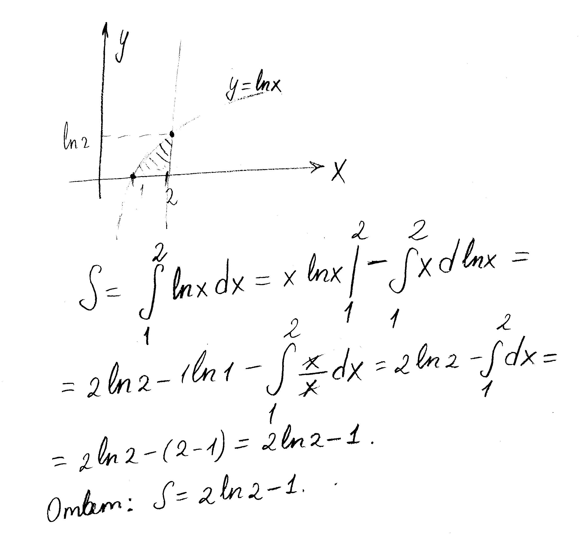
Найти площадь фигуры, ограниченной линиями: y=ln x y=0 x=2

Ответы

Ответ дал: bearcab
0

Решение в приложении.

Приложения:
Вас заинтересует