• Предмет: Алгебра
  • Автор: 1234567011
  • Вопрос задан 8 лет назад

СРОЧНО!!! Найти предел. Заранее спасибо.

Приложения:

Ответы

Ответ дал: krolikzajcev
0

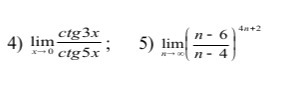
4.


lim_{xto 0} frac{(3xctg3x)5x}{(5xctg5x)3x}=5/3


5.




e^a\\a= lim_{n to infty} (frac{n-6}{n-4} -1)*(4n+2)= lim_{n to infty} frac{-8n-4}{ n-4} =-8


То есть,

e^{-8}

Ответ дал: 1234567011
0
спасибо)
Вас заинтересует