• Предмет: Алгебра
  • Автор: dannilbenda
  • Вопрос задан 8 лет назад

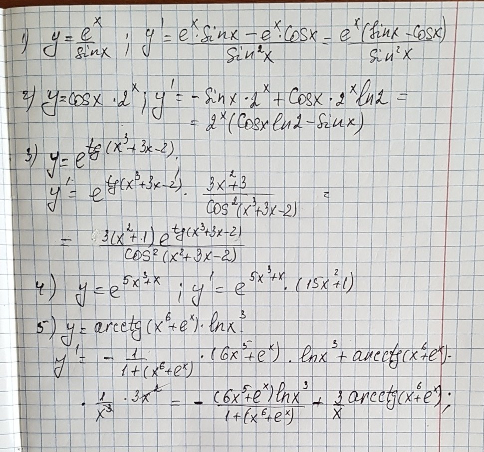
Срочно сижу на самостоятельной нужно будет Найти производную

Приложения:

Ответы

Ответ дал: 1233090
0
решение задания смотри на фотографии
Приложения:
Вас заинтересует