Ответы
Ответ дал:
0
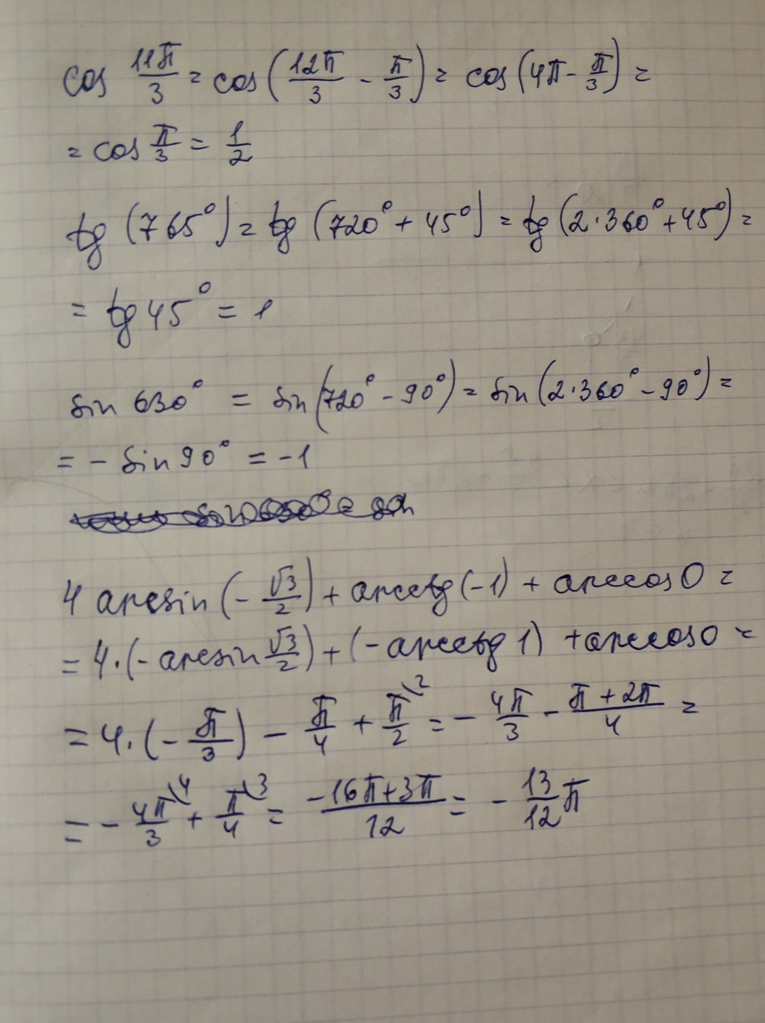
a)cos11π/2=cos(4π+3π/2)=cos3π/2=0
tg765°=tg(4*180°+45°)=tg45°=1
sin630°=sin(2*360°-90°)=sin(-90°)=-1
b)4arcsin(-√3/2)+arctg(-1)+arccos0=
4•(-π/3)+(-π/4)+π/2=(-16π-3π+6π)/12=
-13π/12
tg765°=tg(4*180°+45°)=tg45°=1
sin630°=sin(2*360°-90°)=sin(-90°)=-1
b)4arcsin(-√3/2)+arctg(-1)+arccos0=
4•(-π/3)+(-π/4)+π/2=(-16π-3π+6π)/12=
-13π/12
Ответ дал:
0
решение во вложении......
Приложения:
Вас заинтересует
2 года назад
3 года назад
9 лет назад
9 лет назад
10 лет назад