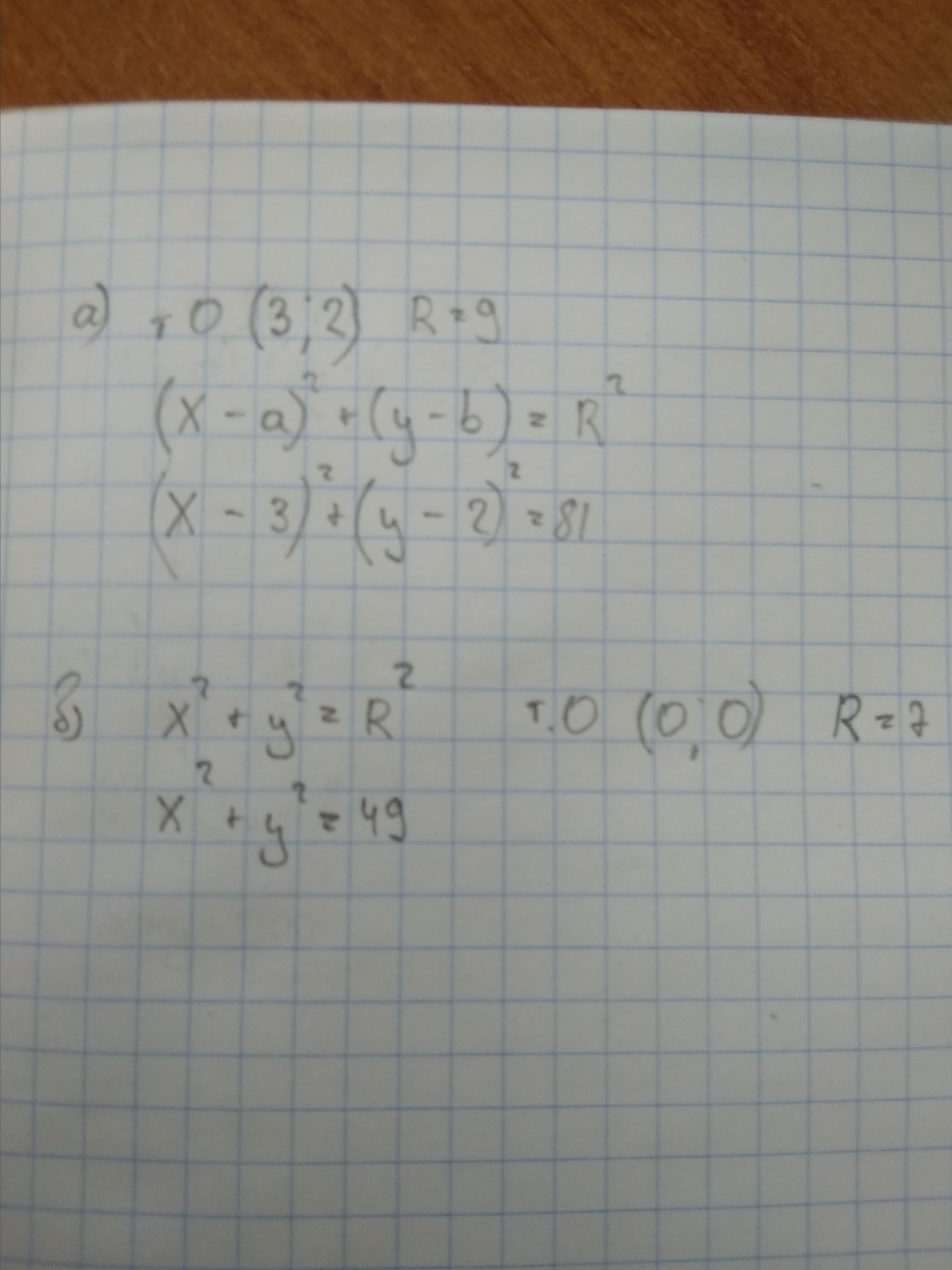
Напишите уравнение окружности а) с центром в точке О (3,2) и R = 9
б) с центром в начале координат и R = 7
Ответы
Ответ дал:
0
Надеюсь понятно)
Как я поняла во втором цент в точке (0;0)
Как я поняла во втором цент в точке (0;0)
Приложения:

Вас заинтересует
2 года назад
2 года назад
3 года назад
3 года назад
9 лет назад
9 лет назад
9 лет назад