Всем доброе время суток. Подскажите как решить по алгебре систему уравнение{x^2+y^2+2xy=4/x-y=4. Помогите пожалуйста
Ответы
Ответ дал:
0
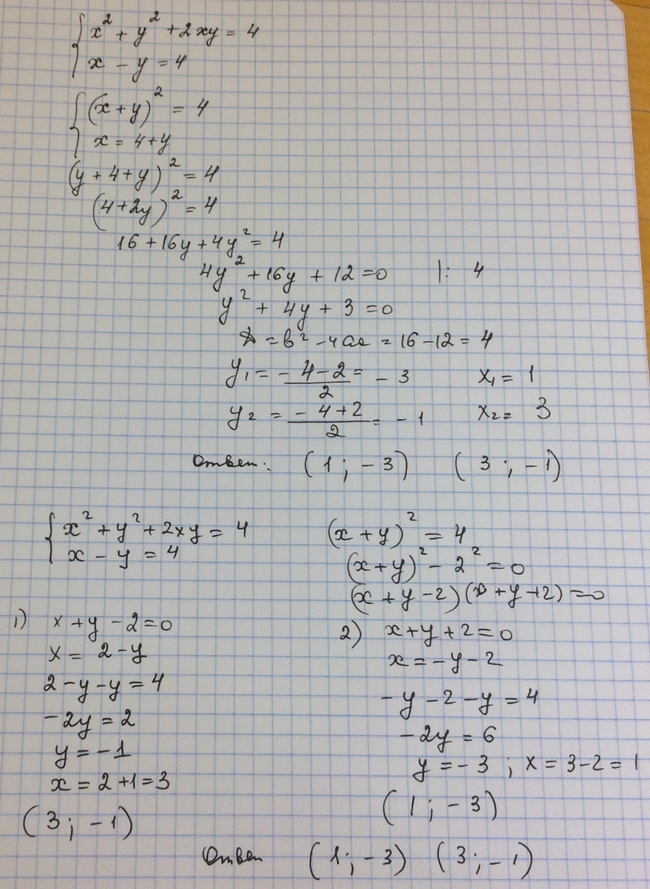
{x^2+y^2+2xy=4
x-y=4
(х+у)^2=4
x-y=4
(4+y+y)^2=4
x=4+y
(4+2y)^2=4
x=4+y
4+2y=2 4+2y=-2
y=-1 y=-3
x=4-1=3 x=4-3=1
Ответ: (3;-1) (1;-3)
Ответ дал:
0
Ответ на фото/////////////
Приложения:

Ответ дал:
0
Большое спасибо
Вас заинтересует
3 года назад
3 года назад
9 лет назад
9 лет назад
9 лет назад