• Предмет: Геометрия
  • Автор: fghugfgvbbffhgf
  • Вопрос задан 8 лет назад

Помогите пожалуйста!!! Очень нужно

Приложения:

Ответы

Ответ дал: parus77
0

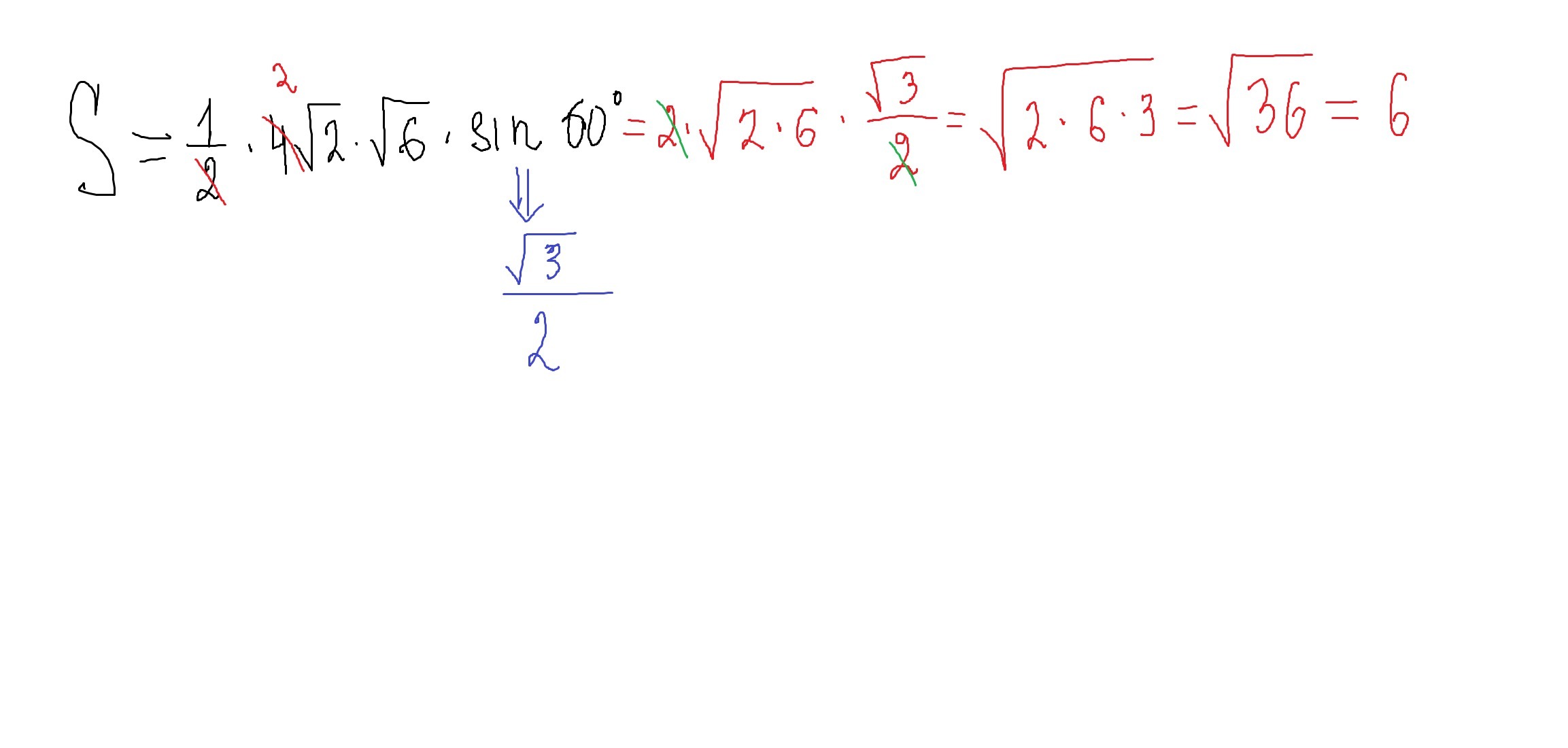
площадь треугольника равна половине произведения длин сторон умноженного на синус угла между ними.В данном случае

S=12 AB*AC*sin ∠A=12*4√2*√6*sin 60°=6 кв.ед  

смотри решение внизу,там записать можно более понятно.

Приложения:
Ответ дал: fghugfgvbbffhgf
0
Спасибо большое!
Ответ дал: parus77
0
пожалуйста
Вас заинтересует